Health Economics and Decision Science, School of Health and Related Research, University of Sheffield, Sheffield, South Yorkshire, UK.
Health Economics and Decision Science, School of Health and Related Research, University of Sheffield, Sheffield, South Yorkshire, UK.
Value Health. 2018 Dec;21(12):1399-1405. doi: 10.1016/j.jval.2018.06.006. Epub 2018 Aug 9.
Preference-based measures of health, such as the three-level EuroQol five-dimensional questionnaire (EQ-5D-3L), are required to calculate quality-adjusted life-years for use in cost-effectiveness analysis, but are often not recorded in clinical studies. In these cases, mapping can be used to estimate preference-based measures.
To model the relationship between the EQ-5D-3L and the Functional Assessment of Cancer Therapy-Breast Cancer (FACT-B) instrument, comparing indirect and direct mapping methods, and the use of FACT-B summary score versus FACT-B subscale scores.
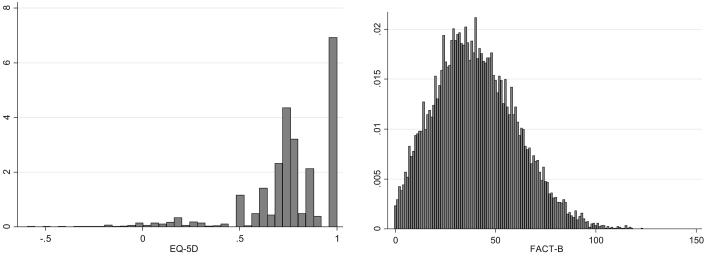
We used data from three clinical studies for advanced breast cancer providing 11,958 observations with full information on FACT-B and the EQ-5D-3L. We compared direct mapping using adjusted limited dependent variable mixture models (ALDVMMs) with indirect mapping using seemingly unrelated ordered probit models. The EQ-5D-3L was estimated as a function of FACT-B and other patient-related covariates.
The use of FACT-B subscale scores was better than using the total FACT-B score. A good fit to the observed data was observed across the entire range of disease severity in all models. ALDVMMs outperformed the indirect mapping. The breast cancer-specific scale had a strong influence in predicting the pain/discomfort and self-care dimensions of the EQ-5D-3L.
This article adds to the growing literature that demonstrates the performance of the ALDVMM method for mapping. Regardless of which model is used, the subscales of FACT-B should be included as independent variables wherever possible. The breast cancer-specific subscale of FACT-B is important in predicting the EQ-5D-3L. This suggests that generic cancer measures should not be used for utility mapping in patients with breast cancer.
偏好健康测量,如三水平欧洲五维健康量表(EQ-5D-3L),需要用于成本效益分析的质量调整生命年计算,但在临床研究中通常没有记录。在这些情况下,可以使用映射来估计基于偏好的措施。
为了比较间接和直接映射方法,以及使用 FACT-B 综合评分与 FACT-B 子量表评分,对 EQ-5D-3L 与癌症治疗功能评估-乳腺癌量表(FACT-B)之间的关系进行建模。
我们使用了三个提供了 FACT-B 和 EQ-5D-3L 完整信息的晚期乳腺癌临床研究的数据,共 11958 个观测值。我们比较了直接映射使用调整后的有限依赖变量混合模型(ALDVMM)与间接映射使用看似无关的有序概率模型。EQ-5D-3L 被估计为 FACT-B 和其他患者相关协变量的函数。
使用 FACT-B 子量表评分优于使用总 FACT-B 评分。在所有模型中,在整个疾病严重程度范围内都观察到了对观察数据的良好拟合。ALDVMM 优于间接映射。乳腺癌特异性量表对预测 EQ-5D-3L 的疼痛/不适和自我护理维度有很强的影响。
本文增加了越来越多的文献,证明了 ALDVMM 方法在映射方面的性能。无论使用哪种模型,只要可能,都应将 FACT-B 的子量表作为独立变量包括在内。FACT-B 的乳腺癌特异性子量表在预测 EQ-5D-3L 方面很重要。这表明在乳腺癌患者中,不应使用通用的癌症测量来进行效用映射。