National Centre for Child Health and Development, Tokyo 157-8535, Japan.
Advanced Clinical Research Centre & Asian Lysosome Storage Disorder Centre, Institute of Neurological Disorders, Kawasaki 215-0026, Japan.
Mol Ther. 2019 Feb 6;27(2):456-464. doi: 10.1016/j.ymthe.2018.12.005. Epub 2018 Dec 8.
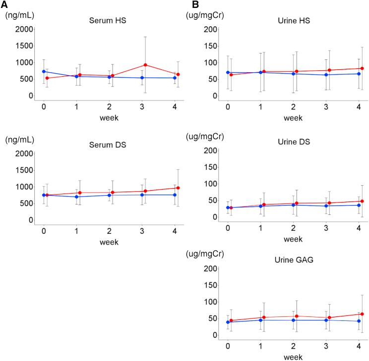
Hunter syndrome (mucopolysaccharidosis II [MPS II]), a deficiency of iduronate-2-sulfatase (IDS), causes an accumulation of glycosaminoglycans, giving rise to multiple systemic and CNS symptoms. The currently available therapies, idursulfase and idursulfase beta, are ineffective against the CNS symptoms because they cannot pass the blood-brain barrier (BBB). A novel IDS fused with anti-human transferrin receptor antibody (JR-141) has been shown to penetrate the BBB and ameliorate learning deficits in model mice. This first-in-human study evaluated the pharmacokinetics, safety, and potential efficacy of JR-141 in 14 patients with MPS II. In a dose-escalation study performed in two patients, JR-141 plasma concentrations were dose dependent and peaked at 3 hr after initiation of each infusion, and no or only mild adverse reactions were exhibited. In a subsequent 4-week evaluation at two dose levels, the plasma concentration profiles were similar between the first and final administration, indicating no drug accumulation. Levels of heparan sulfate (HS) and dermatan sulfate (DS) were suppressed in both plasma and urine and HS levels were significantly decreased in cerebrospinal fluid. Two patients experienced some amelioration of neurocognitive and motor symptoms. These results suggest that the drug successfully penetrates the BBB and could have CNS efficacy.
亨特综合征(黏多糖贮积症 II [MPS II])是由于艾杜糖-2-硫酸酯酶(IDS)缺乏引起的,导致糖胺聚糖积累,从而引起多种全身和中枢神经系统症状。目前可用的治疗方法,艾杜硫酸酯酶和艾杜硫酸酯酶β,对中枢神经系统症状无效,因为它们不能穿透血脑屏障(BBB)。一种新型与抗人转铁蛋白受体抗体(JR-141)融合的 IDS 已被证明可穿透血脑屏障,并改善模型小鼠的学习缺陷。这项首次在人体中的研究评估了 JR-141 在 14 名 MPS II 患者中的药代动力学、安全性和潜在疗效。在两名患者进行的剂量递增研究中,JR-141 血浆浓度与剂量呈依赖性,在每次输注开始后 3 小时达到峰值,并且没有或只有轻微的不良反应。在随后的 4 周两个剂量水平评估中,第一次和最后一次给药之间的血浆浓度曲线相似,表明没有药物蓄积。HS 和 DS 在血浆和尿液中的水平均受到抑制,CSF 中的 HS 水平显著降低。两名患者的神经认知和运动症状有所改善。这些结果表明,该药物成功穿透了血脑屏障,可能具有中枢神经系统疗效。