Suppr超能文献

关于日常生活活动中肌肉协同作用对表面肌电图分解的可靠性和可重复性

On the Reliability and Repeatability of Surface Electromyography Factorization by Muscle Synergies in Daily Life Activities.

作者信息

Taborri Juri, Palermo Eduardo, Del Prete Zaccaria, Rossi Stefano

机构信息

Department of Economics, Engineering, Society and Business Organization (DEIM), University of Tuscia, Via Del Paradiso, 47, Viterbo 01100, Italy.

Department of Mechanical and Aerospace Engineering, Sapienza University of Rome, Via Eudossiana, 18, Roma 00184, Italy.

出版信息

Appl Bionics Biomech. 2018 Nov 22;2018:5852307. doi: 10.1155/2018/5852307. eCollection 2018.

Abstract

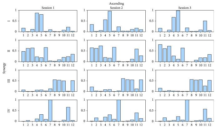
Muscle synergy theory is a new appealing approach for different research fields. This study is aimed at evaluating the robustness of EMG reconstruction via muscle synergies and the repeatability of muscle synergy parameters as potential neurophysiological indices. Eight healthy subjects performed walking, stepping, running, and ascending and descending stairs' trials for five repetitions in three sessions. Twelve muscles of the dominant leg were analyzed. The "nonnegative matrix factorization" and "variability account for" were used to extract muscle synergies and to assess EMG goodness reconstruction, respectively. Intraclass correlation was used to quantify methodology reliability. Cosine similarity and coefficient of determination assessed the repeatability of the muscle synergy vectors and the temporal activity patterns, respectively. A 4-synergy model was selected for EMG signal factorization. Intraclass correlation was excellent for the overall reconstruction, while it ranged from fair to excellent for single muscles. The EMG reconstruction was found repeatable across sessions and subjects. Considering the selection of neurophysiological indices, the number of synergies was not repeatable neither within nor between subjects. Conversely, the cosine similarity and coefficient of determination values allow considering the muscle synergy vectors and the temporal activity patterns as potential neurophysiological indices due to their similarity both within and between subjects. More specifically, some synergies in the 4-synergy model reveal themselves as more repeatable than others, suggesting focusing on them when seeking at the neurophysiological index identification.

摘要

肌肉协同理论是一种对不同研究领域都颇具吸引力的新方法。本研究旨在评估通过肌肉协同作用进行肌电图(EMG)重建的稳健性以及肌肉协同参数作为潜在神经生理指标的可重复性。八名健康受试者在三个阶段进行了五次重复的行走、踏步、跑步以及上下楼梯试验。对优势腿的十二块肌肉进行了分析。分别使用“非负矩阵分解”和“可变性占比”来提取肌肉协同作用并评估EMG重建效果。组内相关用于量化方法的可靠性。余弦相似度和决定系数分别评估肌肉协同向量和时间活动模式的可重复性。选择了一个四协同模型用于EMG信号分解。组内相关对于整体重建效果极佳,而对于单块肌肉则介于一般到极佳之间。发现EMG重建在不同阶段和受试者之间具有可重复性。考虑到神经生理指标的选择,协同作用的数量在受试者内部和受试者之间均不可重复。相反,由于余弦相似度和决定系数值在受试者内部和受试者之间都具有相似性,因此可以将肌肉协同向量和时间活动模式视为潜在的神经生理指标。更具体地说,四协同模型中的一些协同作用显示出比其他协同作用更具可重复性,这表明在寻找神经生理指标时应关注它们。

https://cdn.ncbi.nlm.nih.gov/pmc/blobs/6b91/6282145/177df29b68a7/ABB2018-5852307.001.jpg

文献AI研究员

20分钟写一篇综述,助力文献阅读效率提升50倍。

立即体验

用中文搜PubMed

大模型驱动的PubMed中文搜索引擎

马上搜索

文档翻译

学术文献翻译模型,支持多种主流文档格式。

立即体验