School of Chemistry, Bio21 Institute, University of Melbourne, Victoria 3010, Australia.
Chemistry & Biochemistry Department, UC Santa Cruz, CA 95064, USA.
Int J Mol Sci. 2019 Jan 6;20(1):181. doi: 10.3390/ijms20010181.
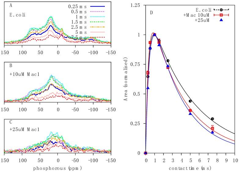
In-cell NMR offers great insight into the characterization of the effect of toxins and antimicrobial peptides on intact cells. However, the complexity of intact live cells remains a significant challenge for the analysis of the effect these agents have on different cellular components. Here we show that P solid-state NMR can be used to quantitatively characterize the dynamic behaviour of DNA within intact live bacteria. Lipids were also identified and monitored, although P dynamic filtering methods indicated a range of dynamic states for phospholipid headgroups. We demonstrate the usefulness of this methodology for monitoring the activity of the antibiotic ampicillin and the antimicrobial peptide (AMP) maculatin 1.1 (Mac1.1) against Gram-negative bacteria. Perturbations in the dynamic behaviour of DNA were observed in treated cells, which indicated additional mechanisms of action for the AMP Mac1.1 not previously reported. This work highlights the value of P in-cell solid-state NMR as a tool for assessing the antimicrobial activity of antibiotics and AMPs in bacterial cells.
细胞内 NMR 技术为研究毒素和抗菌肽对完整细胞的影响提供了重要的见解。然而,完整活细胞的复杂性仍然是分析这些药物对不同细胞成分影响的一个重大挑战。在这里,我们展示了 P 固态 NMR 可用于定量描述完整活细菌中 DNA 的动态行为。虽然 P 动态过滤方法表明磷脂头部基团存在多种动态状态,但也鉴定和监测了脂质。我们证明了该方法学在监测抗生素氨苄西林和抗菌肽(AMP)maculatin 1.1(Mac1.1)对革兰氏阴性菌的活性方面的有用性。在处理过的细胞中观察到 DNA 动态行为的改变,这表明 AMP Mac1.1 的作用机制有了新的发现,这是以前没有报道过的。这项工作突出了 P 细胞内固态 NMR 作为评估抗生素和 AMP 在细菌细胞中抗菌活性的工具的价值。