Suppr超能文献

依维莫司联合低剂量环磷酰胺治疗转移性肾细胞癌患者免疫细胞亚群的影响:一项 I 期临床试验结果。

The effect of everolimus and low-dose cyclophosphamide on immune cell subsets in patients with metastatic renal cell carcinoma: results from a phase I clinical trial.

机构信息

Department of Medical Oncology, Amsterdam UMC, Vrije Universiteit Amsterdam, Cancer Center Amsterdam, De Boelelaan 1117, 1081 HV, Amsterdam, The Netherlands.

Department of Medical Oncology, Radboud University Medical Center, Nijmegen, The Netherlands.

出版信息

Cancer Immunol Immunother. 2019 Mar;68(3):503-515. doi: 10.1007/s00262-018-2288-8. Epub 2019 Jan 17.

Abstract

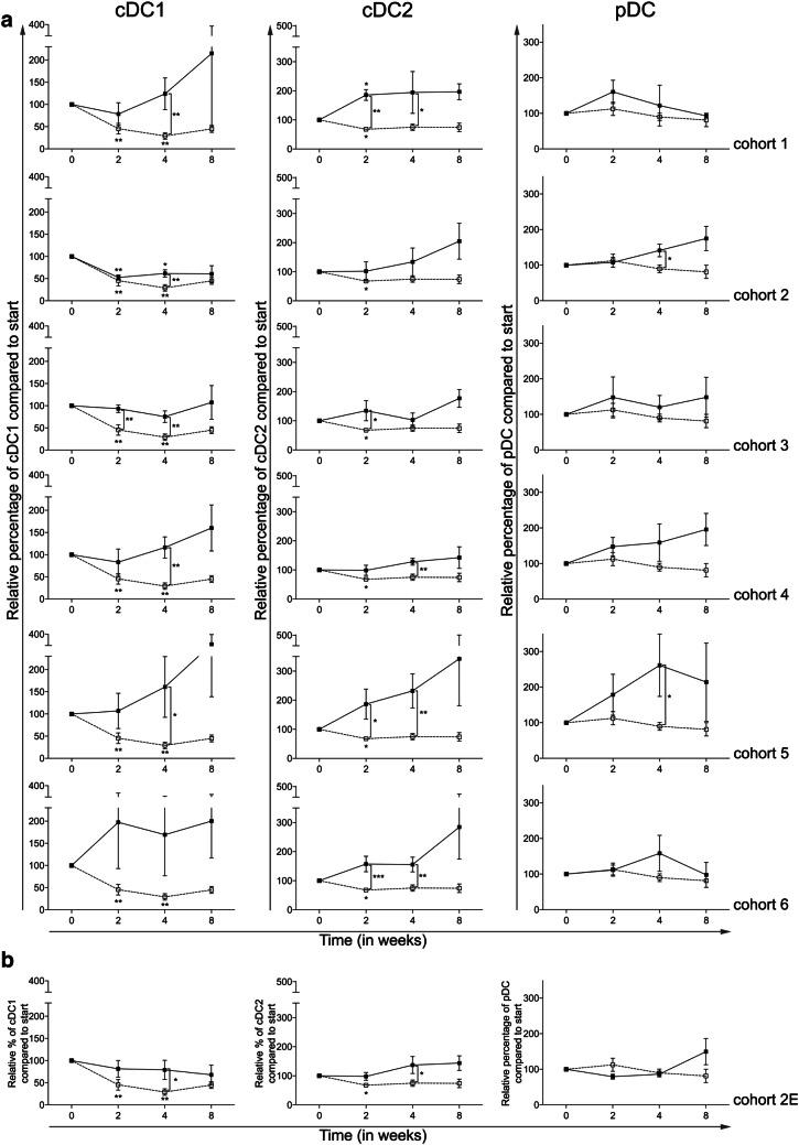
For the treatment of metastatic renal cell cancer several strategies are used among which the mTOR inhibitor everolimus. As mTOR plays an important role in the immune system, e.g., by controlling the expression of the transcription factor FoxP3 thereby regulating regulatory T cells (Tregs), it plays a key role in the balance between tolerance and inflammation. Previous reports showed stimulatory effects of mTOR inhibition on the expansion of Tregs, an effect that can be considered detrimental in terms of cancer control. Since metronomic cyclophosphamide (CTX) was shown to selectively deplete Tregs, a phase 1 clinical trial was conducted to comprehensively investigate the immune-modulating effects of several dosages and schedules of CTX in combination with the standard dose of everolimus, with the explicit aim to achieve selective Treg depletion. Our data show that 50 mg of CTX once daily and continuously administered, in combination with the standard dose of 10 mg everolimus once daily, not only results in depletion of Tregs, but also leads to a reduction in MDSC, a sustained level of the CD8 T-cell population accompanied by an increased effector to suppressor ratio, and reversal of negative effects on three peripheral blood DC subsets. These positive effects on the immune response may contribute to improved survival, and therefore this combination therapy is further evaluated in a phase II clinical trial.

摘要

对于转移性肾细胞癌的治疗,有几种策略在使用,其中包括 mTOR 抑制剂依维莫司。由于 mTOR 在免疫系统中起着重要作用,例如通过控制转录因子 FoxP3 的表达从而调节调节性 T 细胞(Tregs),因此它在耐受与炎症之间的平衡中起着关键作用。先前的报告表明,mTOR 抑制对 Tregs 的扩增具有刺激作用,从癌症控制的角度来看,这种作用可能是有害的。由于低剂量环磷酰胺(CTX)已被证明可选择性地耗尽 Tregs,因此进行了一项 I 期临床试验,以全面研究 CTX 的几种剂量和方案与依维莫司标准剂量联合使用的免疫调节作用,明确目的是实现选择性 Treg 耗竭。我们的数据表明,每天连续服用 50mg CTX,与每天服用 10mg 依维莫司的标准剂量联合使用,不仅导致 Tregs 耗竭,还导致 MDSC 减少,CD8 T 细胞群的持续水平伴随着效应器与抑制剂比值的增加,以及对三种外周血 DC 亚群的负性影响的逆转。这些对免疫反应的积极影响可能有助于提高生存率,因此这种联合治疗方案正在进行 II 期临床试验评估。

https://cdn.ncbi.nlm.nih.gov/pmc/blobs/bdfd/11028224/0e84e2c12353/262_2018_2288_Fig1_HTML.jpg

文献AI研究员

20分钟写一篇综述,助力文献阅读效率提升50倍。

立即体验

用中文搜PubMed

大模型驱动的PubMed中文搜索引擎

马上搜索

文档翻译

学术文献翻译模型,支持多种主流文档格式。

立即体验