Suppr超能文献

基于光纤布拉格光栅的复合绝缘子覆冰荷载与温度检测

Detection of Glaze Icing Load and Temperature of Composite Insulators Using Fiber Bragg Grating.

机构信息

School of Electric Power, South China University of Technology, Guangzhou 510640, China.

State Key Laboratory of Luminescent Materials and Devices, South China University of Technology, Guangzhou 510640, China.

出版信息

Sensors (Basel). 2019 Mar 16;19(6):1321. doi: 10.3390/s19061321.

Abstract

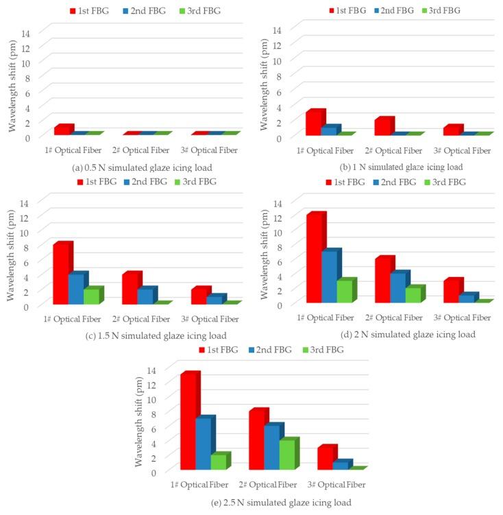
Conventional methods for the online monitoring of icing conditions of composite insulators suffer from difficulties. To solve this issue, a novel method is first proposed to detect glaze icing load via embedding three optical fibers with fiber Bragg gratings (FBGs) into a 10 kV composite insulator. Specifically, FBG temperature compensation sensors were packaged in ceramic tubes to solve strain and temperature cross-sensitivity. Temperature effect experiments and simulated glaze icing load experiments were performed to verify the feasibility of the proposed method. The results show that temperature sensitivities of all FBGs are identical (i.e., 10.68 pm/°C), which achieves a simultaneous measurement of temperature and strain. In addition, the proposed method can detect glaze icing load of the composite insulator above 0.5 N (i.e., 15% of icicle bridged degree) in the laboratory.

摘要

常规的复合绝缘子覆冰在线监测方法存在困难。为了解决这个问题,首先提出了一种新的方法,通过在 10kV 复合绝缘子中嵌入三根带有光纤布拉格光栅(FBG)的光纤来检测覆冰载荷。具体来说,将 FBG 温度补偿传感器封装在陶瓷管中,以解决应变和温度交叉敏感性问题。进行了温度效应实验和模拟覆冰载荷实验,以验证所提出方法的可行性。结果表明,所有 FBG 的温度灵敏度相同(即 10.68pm/°C),实现了温度和应变的同时测量。此外,该方法可以在实验室中检测到复合绝缘子的覆冰载荷超过 0.5N(即 15%冰棱桥接程度)。

https://cdn.ncbi.nlm.nih.gov/pmc/blobs/eff4/6470760/64c390b92c57/sensors-19-01321-g001.jpg

文献AI研究员

20分钟写一篇综述,助力文献阅读效率提升50倍。

立即体验

用中文搜PubMed

大模型驱动的PubMed中文搜索引擎

马上搜索

文档翻译

学术文献翻译模型,支持多种主流文档格式。

立即体验