Yee Thet Lei, Rathnayake Thusitha, Visvanathan Chettiyappan
Department of Energy, Environment and Climate Change, School of Environment, Resources and Development, Asian Institute of Technology, P.O. Box 4, Khlong Luang, Pathumthani 12120, Thailand.
Membranes (Basel). 2019 Apr 18;9(4):55. doi: 10.3390/membranes9040055.
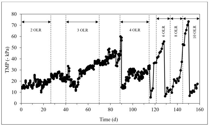
Anaerobic treatment processes have achieved popularity in treating palm oil mill effluent due to its high treatability and biogas generation. The use of externally submerged membranes with anaerobic reactors promotes the retention of the biomass in the reactor. This study was conducted in thermophilic conditions with the Polytetrafluoroethylene hollow fiber (PTFE-HF) membrane which was operated at 55 °C. The reactor was operated at Organic Loading Rates (OLR) of 2, 3, 4, 6, 8, and 10 kg Chemical Oxygen Demand (COD)/m·d to investigate the treatment performance and the membrane operation. The efficiency of the COD removal achieved by the system was between 93-98%. The highest methane yield achieved was 0.56 m CH/kg COD. The reactor mixed liquor volatile suspended solids (MLVSS) was maintained between 11.1 g/L to 20.9 g/L. A dead-end mode PTFE hollow fiber microfiltration was operated with the constant flux of 3 LMH (L/m·h) in permeate recirculation mode to separate the clear final effluent and retain the biomass in the reactor. Membrane fouling was one of the limiting factors in the membrane bioreactor application. In this study, organic fouling was observed to be 93% of the total membrane fouling.
由于厌氧处理工艺具有较高的可处理性和能产生沼气,因此在处理棕榈油厂废水方面颇受欢迎。在厌氧反应器中使用外置式浸没膜可促进生物量在反应器中的保留。本研究在嗜热条件下进行,使用的是在55°C运行的聚四氟乙烯中空纤维(PTFE-HF)膜。反应器在2、3、4、6、8和10 kg化学需氧量(COD)/m³·d的有机负荷率(OLR)下运行,以研究处理性能和膜的运行情况。该系统实现的COD去除效率在93%至98%之间。实现的最高甲烷产量为0.56 m³ CH₄/kg COD。反应器混合液挥发性悬浮固体(MLVSS)维持在11.1 g/L至20.9 g/L之间。采用死端模式的PTFE中空纤维微滤,在渗透液循环模式下以3 LMH(L/m²·h)的恒定通量运行,以分离清澈的最终出水并将生物量保留在反应器中。膜污染是膜生物反应器应用中的限制因素之一。在本研究中,观察到有机污染占总膜污染的93%。