Thoracic Oncology Department, Toulouse University Hospital, Université Paul Sabatier, Toulouse, France.
Thoracic Oncology Service, Memorial Sloan Kettering Cancer Center and Weill Cornell Medical College, New York, USA.
Ann Oncol. 2019 Aug 1;30(8):1321-1328. doi: 10.1093/annonc/mdz167.
Anti-PD1/PD-L1 directed immune checkpoint inhibitors (ICI) are widely used to treat patients with advanced non-small-cell lung cancer (NSCLC). The activity of ICI across NSCLC harboring oncogenic alterations is poorly characterized. The aim of our study was to address the efficacy of ICI in the context of oncogenic addiction.
We conducted a retrospective study for patients receiving ICI monotherapy for advanced NSCLC with at least one oncogenic driver alteration. Anonymized data were evaluated for clinicopathologic characteristics and outcomes for ICI therapy: best response (RECIST 1.1), progression-free survival (PFS), and overall survival (OS) from ICI initiation. The primary end point was PFS under ICI. Secondary end points were best response (RECIST 1.1) and OS from ICI initiation.
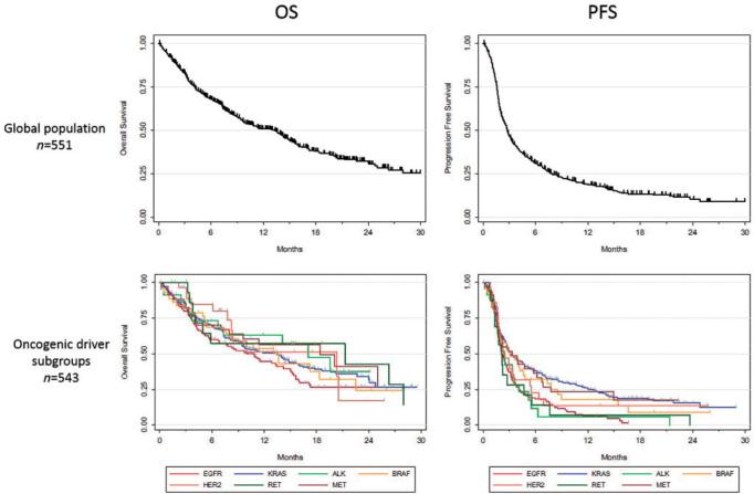
We studied 551 patients treated in 24 centers from 10 countries. The molecular alterations involved KRAS (n = 271), EGFR (n = 125), BRAF (n = 43), MET (n = 36), HER2 (n = 29), ALK (n = 23), RET (n = 16), ROS1 (n = 7), and multiple drivers (n = 1). Median age was 60 years, gender ratio was 1 : 1, never/former/current smokers were 28%/51%/21%, respectively, and the majority of tumors were adenocarcinoma. The objective response rate by driver alteration was: KRAS = 26%, BRAF = 24%, ROS1 = 17%, MET = 16%, EGFR = 12%, HER2 = 7%, RET = 6%, and ALK = 0%. In the entire cohort, median PFS was 2.8 months, OS 13.3 months, and the best response rate 19%. In a subgroup analysis, median PFS (in months) was 2.1 for EGFR, 3.2 for KRAS, 2.5 for ALK, 3.1 for BRAF, 2.5 for HER2, 2.1 for RET, and 3.4 for MET. In certain subgroups, PFS was positively associated with PD-L1 expression (KRAS, EGFR) and with smoking status (BRAF, HER2).
: ICI induced regression in some tumors with actionable driver alterations, but clinical activity was lower compared with the KRAS group and the lack of response in the ALK group was notable. Patients with actionable tumor alterations should receive targeted therapies and chemotherapy before considering immunotherapy as a single agent.
抗 PD-1/PD-L1 定向免疫检查点抑制剂(ICI)广泛用于治疗晚期非小细胞肺癌(NSCLC)患者。ICI 在携带致癌改变的 NSCLC 中的活性特征描述不佳。我们研究的目的是确定 ICI 在致癌药物依赖方面的疗效。
我们对接受 ICI 单药治疗的至少有一个致癌驱动改变的晚期 NSCLC 患者进行了回顾性研究。评估了匿名数据的临床病理特征和 ICI 治疗的结果:最佳反应(RECIST 1.1)、无进展生存期(PFS)和从 ICI 开始的总生存期(OS)。主要终点是 ICI 下的 PFS。次要终点是最佳反应(RECIST 1.1)和从 ICI 开始的 OS。
我们研究了来自 10 个国家的 24 个中心的 551 名患者。涉及的分子改变包括 KRAS(n=271)、EGFR(n=125)、BRAF(n=43)、MET(n=36)、HER2(n=29)、ALK(n=23)、RET(n=16)、ROS1(n=7)和多个驱动基因(n=1)。中位年龄为 60 岁,性别比为 1:1,从不/以前/现在吸烟者分别为 28%/51%/21%,大多数肿瘤为腺癌。根据驱动基因改变的客观缓解率为:KRAS=26%、BRAF=24%、ROS1=17%、MET=16%、EGFR=12%、HER2=7%、RET=6%和 ALK=0%。在整个队列中,中位 PFS 为 2.8 个月,OS 为 13.3 个月,最佳反应率为 19%。在亚组分析中,EGFR 组的中位 PFS(月)为 2.1,KRAS 组为 3.2,ALK 组为 2.5,BRAF 组为 3.1,HER2 组为 2.5,RET 组为 2.1,MET 组为 3.4。在某些亚组中,PFS 与 PD-L1 表达(KRAS、EGFR)和吸烟状态(BRAF、HER2)呈正相关。
ICI 在一些可治疗的驱动基因改变的肿瘤中诱导了肿瘤消退,但与 KRAS 组相比,ICI 的临床疗效较低,ALK 组无反应也很明显。有可治疗的肿瘤改变的患者应在考虑免疫治疗作为单一药物之前接受靶向治疗和化疗。