Tallima Hatem, Abou El Dahab Marwa, El Ridi Rashika
Zoology Department, Faculty of Science, Cairo University, Giza 12613, Egypt.
Department of Chemistry, School of Science and Engineering, American University in Cairo, New Cairo 11835, Egypt.
J Adv Res. 2019 Jan 4;17:73-84. doi: 10.1016/j.jare.2018.12.008. eCollection 2019 May.
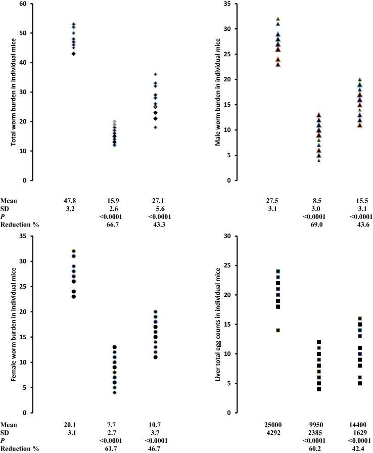
Papain, an experimental model protease, was used to decipher the protective mechanism(s) of the cysteine peptidase-based schistosomiasis vaccine. To examine the role of T lymphocytes, athymic nude (nu/nu) and immunocompetent haired (nu/+) mice were subcutaneously (sc) injected with 50 µg active papain two days before percutaneous exposure to 100 cercariae of . Highly significant ( < 0.005) reductions in worm burden required competent T lymphocytes, while significant increases ( < 0.05) of >80% in dead parasite ova in the small intestine were independent of T cell activity and likely relied on the innate immune axis. To investigate the role of enzymatic activity, immunocompetent mice were sc injected with 50 µg active or E-64-inactivated papain two days before exposure to cercariae. The reductions in worm burden were highly significant ( < 0.0001), reaching >65% and 40% in active and inactivated papain-treated mice, respectively. Similar highly significant ( < 0.0001) decreases of 85% in the viability of parasite ova in the small intestine occurred in both active and inactivated papain-treated mice. These findings indicated that immune responses elicited by one or more papain structural motifs are necessary and sufficient for induction of considerable parasite and egg attrition. Correlates of protection included IgG1-dominated antibody responses and increases in the levels of uric acid and arachidonic acid in the lung and liver upon parasite migration in these sites. Identification of the shared patterns or motifs in cysteine peptidases and evaluation of their immune protective potential will pave the way to the development of a safe, efficacious, storage-stable, and cost-effective schistosomiasis vaccine.
木瓜蛋白酶是一种实验性模型蛋白酶,被用于解读基于半胱氨酸蛋白酶的血吸虫病疫苗的保护机制。为了研究T淋巴细胞的作用,在经皮暴露于100条日本血吸虫尾蚴前两天,对无胸腺裸鼠(nu/nu)和具有免疫能力的有毛小鼠(nu/+)皮下注射50μg活性木瓜蛋白酶。蠕虫负荷的显著降低(P<0.005)需要有功能的T淋巴细胞,而小肠中死寄生虫卵显著增加(P<0.05)超过80%则与T细胞活性无关,可能依赖于固有免疫轴。为了研究酶活性的作用, 在暴露于尾蚴前两天,对具有免疫能力的小鼠皮下注射50μg活性或经E-64灭活的木瓜蛋白酶。蠕虫负荷的降低非常显著(P<0.0001),在活性木瓜蛋白酶处理组和灭活木瓜蛋白酶处理组小鼠中分别达到>65%和40%。活性木瓜蛋白酶处理组和灭活木瓜蛋白酶处理组小鼠的小肠中寄生虫卵活力也出现了相似的极显著降低(P<0.0001),降低幅度达85%。这些发现表明,由一个或多个木瓜蛋白酶结构基序引发的免疫反应对于诱导大量寄生虫和虫卵损耗是必要且充分的。保护的相关因素包括以IgG1为主的抗体反应,以及寄生虫在肺和肝脏中移行时,肺和肝脏中尿酸和花生四烯酸水平的升高。鉴定半胱氨酸蛋白酶中的共同模式或基序,并评估其免疫保护潜力,将为开发安全、有效、储存稳定且经济高效的血吸虫病疫苗铺平道路。