Ballard Clive, Atri Alireza, Boneva Neli, Cummings Jeffrey L, Frölich Lutz, Molinuevo José Luis, Tariot Pierre N, Raket Lars Lau
University of Exeter Medical School, Exeter, UK.
Banner Sun Health Research Institute, Sun City, AZ, USA.
Alzheimers Dement (N Y). 2019 May 20;5:164-174. doi: 10.1016/j.trci.2019.04.001. eCollection 2019.
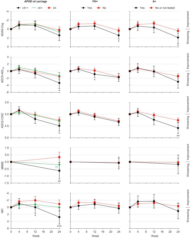
Heterogeneity of outcomes in Alzheimer's disease (AD) clinical trials necessitates large sample sizes and contributes to study failures. This analysis determined whether mild-to-moderate AD populations could be enriched for cognitive decline based on apolipoprotein () ε4 genotype, family history of AD, and amyloid abnormalities.
Modeling estimated the number of randomized patients needed to detect a 2-point treatment difference on the AD Assessment Scale-Cognitive subscale using placebo data from three randomized, double-blind trials (ClinicalTrials.gov Identifiers: NCT01955161, NCT02006641, and NCT02006654).
An 80% power to detect a 2-point treatment effect required the randomization of 148 amyloid-positive patients; 178 ε4 homozygous or amyloid-positive patients; and 231 ε4 homozygous, family history-positive, or amyloid-positive patients, compared with 1619 unenriched patients (per arm).
Enrichment in mild-to-moderate AD clinical trials can be achieved using combinations of biomarkers/risk factors to increase the likelihood of observing potential treatment effects.
阿尔茨海默病(AD)临床试验结果的异质性使得需要大样本量,并且是研究失败的原因之一。本分析确定了轻至中度AD人群是否可以基于载脂蛋白()ε4基因型、AD家族史和淀粉样蛋白异常来富集认知功能下降人群。
利用三项随机双盲试验(ClinicalTrials.gov标识符:NCT01955161、NCT02006641和NCT02006654)的安慰剂数据,通过建模估计检测AD评估量表认知子量表上2分治疗差异所需的随机分组患者数量。
检测到2分治疗效果的80%把握度要求随机分组148名淀粉样蛋白阳性患者;178名ε4纯合子或淀粉样蛋白阳性患者;以及231名ε4纯合子、家族史阳性或淀粉样蛋白阳性患者,相比之下,未富集的患者为1619名(每组)。
在轻至中度AD临床试验中,可以通过生物标志物/风险因素的组合来实现富集,以增加观察到潜在治疗效果的可能性。