Suppr超能文献

饮食组成和进食行为时间对大鼠棕色脂肪组织和骨骼肌外周生物钟的不同影响。

Differential effects of diet composition and timing of feeding behavior on rat brown adipose tissue and skeletal muscle peripheral clocks.

作者信息

de Goede Paul, Sen Satish, Oosterman Johanneke E, Foppen Ewout, Jansen Remi, la Fleur Susanne E, Challet Etienne, Kalsbeek Andries

机构信息

Laboratory of Endocrinology, Department of Clinical Chemistry, Academic Medical Center (AMC), University of Amsterdam, Amsterdam, The Netherlands.

Hypothalamic Integration Mechanisms Group, Netherlands Institute for Neuroscience (NIN), Amsterdam, The Netherlands.

出版信息

Neurobiol Sleep Circadian Rhythms. 2017 Sep 18;4:24-33. doi: 10.1016/j.nbscr.2017.09.002. eCollection 2018 Jan.

Abstract

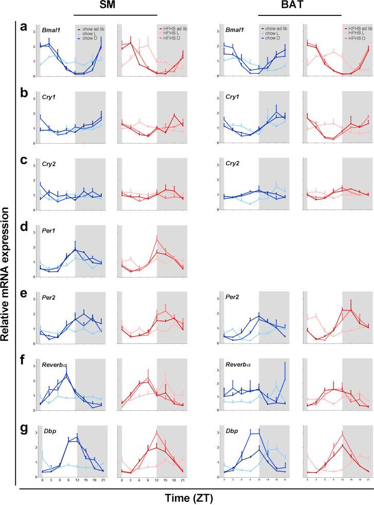
The effects of feeding behavior and diet composition, as well as their possible interactions, on daily (clock) gene expression rhythms have mainly been studied in the liver, and to a lesser degree in white adipose tissue (WAT), but hardly in other metabolic tissues such as skeletal muscle (SM) and brown adipose tissues (BAT). We therefore subjected male Wistar rats to a regular chow or free choice high-fat-high sugar (fcHFHS) diet in combination with time restricted feeding (TRF) to either the light or dark phase. In SM, all tested clock genes lost their rhythmic expression in the chow light fed group. In the fcHFHS light fed group rhythmic expression for some, but not all, clock genes was maintained, but shifted by several hours. In BAT the daily rhythmicity of clock genes was maintained for the light fed groups, but expression patterns were shifted as compared with and dark fed groups, whilst the fcHFHS diet made the rhythmicity of clock genes become more pronounced. Most of the metabolic genes in BAT tissue tested did not show any rhythmic expression in either the chow or fcHFHS groups. In SM and were phase-shifted, but remained rhythmically expressed in the chow light fed groups. Rhythmic expression was lost for whilst on the fcHFHS diet during the light phase. In summary, both feeding at the wrong time of day and diet composition disturb the peripheral clocks in SM and BAT, but to different degrees and thereby result in a further desynchronization between metabolically active tissues such as SM, BAT, WAT and liver.

摘要

进食行为和饮食组成及其可能的相互作用对日常(生物钟)基因表达节律的影响,主要在肝脏中进行了研究,在白色脂肪组织(WAT)中的研究较少,而在骨骼肌(SM)和棕色脂肪组织(BAT)等其他代谢组织中的研究几乎没有。因此,我们将雄性Wistar大鼠分为常规饲料组或自由选择高脂高糖(fcHFHS)饮食组,并结合限时进食(TRF),分别在光照期或黑暗期进行。在骨骼肌中,常规饲料光照喂养组中所有测试的生物钟基因都失去了节律性表达。在fcHFHS光照喂养组中,一些(但不是全部)生物钟基因的节律性表达得以维持,但发生了数小时的偏移。在棕色脂肪组织中,光照喂养组的生物钟基因每日节律性得以维持,但与黑暗喂养组相比,表达模式发生了偏移,而fcHFHS饮食使生物钟基因的节律性更加明显。棕色脂肪组织中测试的大多数代谢基因在常规饲料组或fcHFHS组中均未显示出任何节律性表达。在骨骼肌中, 和 发生了相位偏移,但在常规饲料光照喂养组中仍有节律性表达。在光照期食用fcHFHS饮食时, 的节律性表达消失。总之,在一天中错误的时间进食和饮食组成都会扰乱骨骼肌和棕色脂肪组织中的外周生物钟,但程度不同,从而导致骨骼肌、棕色脂肪组织、白色脂肪组织和肝脏等代谢活跃组织之间进一步不同步。

https://cdn.ncbi.nlm.nih.gov/pmc/blobs/0296/6584485/c7ece5d68b10/gr1.jpg

文献AI研究员

20分钟写一篇综述,助力文献阅读效率提升50倍。

立即体验

用中文搜PubMed

大模型驱动的PubMed中文搜索引擎

马上搜索

文档翻译

学术文献翻译模型,支持多种主流文档格式。

立即体验