Wang Zhipeng, Ban Lijun, Meng Pingfan, Li Haitao, Zhao Yongxiang
Engineering Research Center of Ministry of Education for Fine Chemicals, School of Chemistry and Chemical Engineering, Shanxi University, Taiyuan 030006, China.
Nanomaterials (Basel). 2019 Aug 7;9(8):1137. doi: 10.3390/nano9081137.
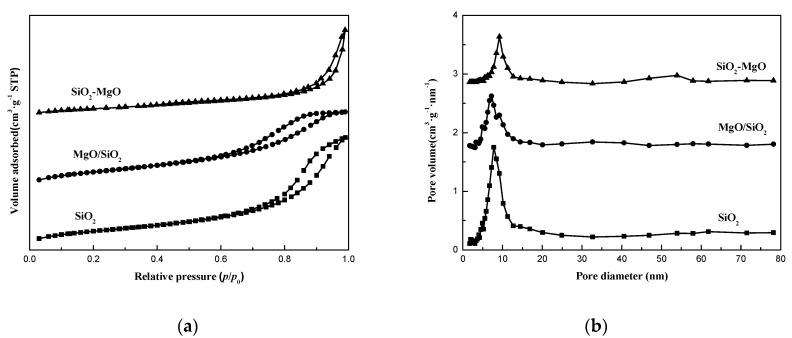
The highly effective catalytic synthesis of 1,4-butynediol (BD) from the Reppe process is a fascinating technology in modern chemical industry. In this work, we reported the effects of the existential states of Mg species in the CuO/silica-magnesia catalysts for the ethynylation of formaldehyde in a simulative slurry reactor. The physichemical properties of the supports and the corresponding catalysts were extensively characterized by various techniques. The experimental results indicated that the introduced Mg species in the form of MgO particles, MgO microcrystals, or Si-O-Mg structures effectively resulted in an abundance of medium-strong basic sites, which can synergize with the active Cu species, facilitate the activation of acetylene, and improve the ethynylation activity. For the CuO/MgO-SiO catalyst, the existence of Si-O-Mg structures strengthened the Cu-support interaction, which were beneficial to improving the dispersion and the valence stability of the active Cu species. The highly dispersed Cu species, its stable valence state, and the abundant medium-strong basic sites enhanced the synergistic effect significantly, leading to the superior activity and stability of CuO/MgO-SiO. The insights into the role of the existential states of Mg species and the revelation of the synergistic effect between active Cu species and basic sites can provide theoretic guidance for future rational design of catalysts for the ethynylation reation.
由雷佩法高效催化合成1,4 - 丁炔二醇是现代化学工业中一项引人入胜的技术。在本工作中,我们报道了在模拟淤浆反应器中,CuO/二氧化硅 - 氧化镁催化剂中镁物种存在状态对甲醛乙炔化反应的影响。通过各种技术对载体及相应催化剂的物理化学性质进行了广泛表征。实验结果表明,以氧化镁颗粒、氧化镁微晶或硅 - 氧 - 镁结构形式引入的镁物种有效地产生了大量中强碱性位点,这些位点可与活性铜物种协同作用,促进乙炔的活化,并提高乙炔化活性。对于CuO/MgO - SiO催化剂,硅 - 氧 - 镁结构的存在增强了铜与载体的相互作用,这有利于提高活性铜物种的分散度和价态稳定性。高度分散的铜物种、其稳定的价态以及丰富的中强碱性位点显著增强了协同效应,从而导致CuO/MgO - SiO具有优异的活性和稳定性。对镁物种存在状态作用的深入了解以及活性铜物种与碱性位点之间协同效应的揭示可为未来乙炔化反应催化剂的合理设计提供理论指导。