Suppr超能文献

卷积核和迭代重建会影响肺腺癌病理亚型中放射组学和深度学习的诊断性能。

Convolution kernel and iterative reconstruction affect the diagnostic performance of radiomics and deep learning in lung adenocarcinoma pathological subtypes.

机构信息

Department of Radiology, Huadong Hospital Affiliated to Fudan University, Shanghai, China.

Diagnosis and Treatment Center of Small Lung Nodules of Huadong Hospital, Shanghai, China.

出版信息

Thorac Cancer. 2019 Oct;10(10):1893-1903. doi: 10.1111/1759-7714.13161. Epub 2019 Aug 19.

Abstract

BACKGROUND

The aim of this study was to investigate the influence of convolution kernel and iterative reconstruction on the diagnostic performance of radiomics and deep learning (DL) in lung adenocarcinomas.

METHODS

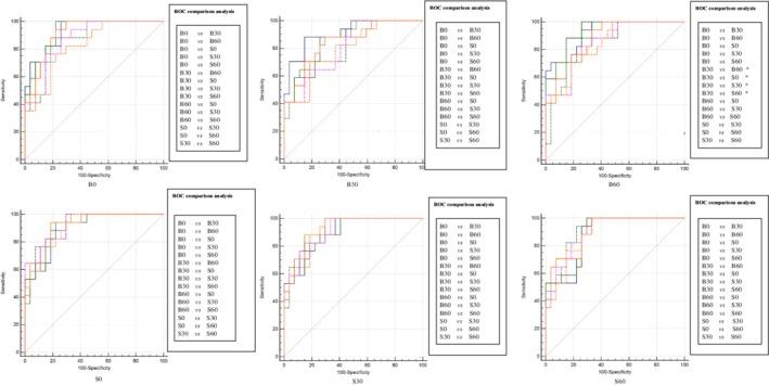
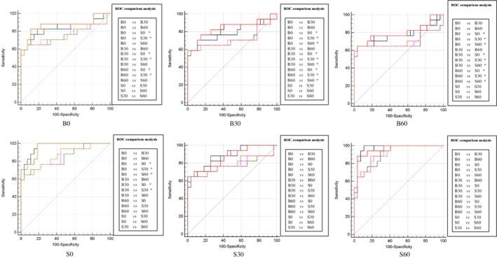
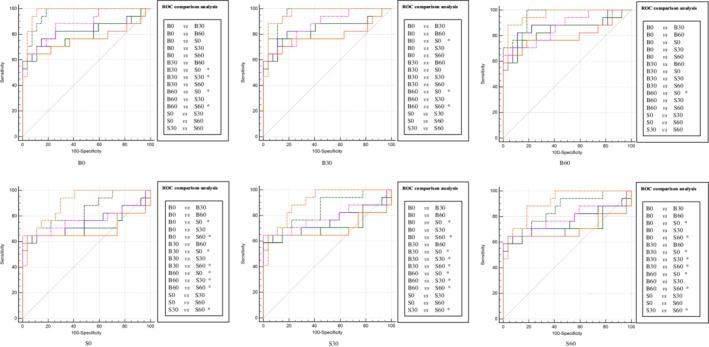
A total of 183 patients with 215 lung adenocarcinomas were included in this study. All CT imaging data was reconstructed with three reconstruction algorithms (ASiR at 0%, 30%, 60% strength), each with two convolution kernels (bone and standard). A total of 171 nodules were selected as the training-validation set, whereas 44 nodules were selected as the testing set. Logistic regression and a DL framework-DenseNets were selected to tackle the task. Three logical experiments were implemented to fully explore the influence of the studied parameters on the diagnostic performance. The receiver operating characteristic curve (ROC) was used to evaluate the performance of constructed models.

RESULTS

In Experiments A and B, no statistically significant results were found in the radiomic method, whereas two and six pairs were statistically significant (P < 0.05) in the DL method. In Experiment_C, significant differences in one and four models were found in the radiomics and DL methods, respectively. Moreover, models constructed with standard convolution kernel data outperformed that constructed with bone convolution kernel data in all studied ASiR levels in the DL method. In the DL method, B0 and S60 performed best in bone and standard convolution kernel, respectively.

CONCLUSION

The results demonstrated that DL was more susceptible to CT parameter variability than radiomics. Standard convolution kernel images seem to be more appropriate for imaging analysis. Further investigation with a larger sample size is needed.

摘要

背景

本研究旨在探讨卷积核和迭代重建对肺腺癌放射组学和深度学习(DL)诊断性能的影响。

方法

本研究共纳入 183 例 215 个肺腺癌患者。所有 CT 成像数据均采用三种重建算法(ASiR 为 0%、30%、60%)和两种卷积核(骨和标准)进行重建。共选择 171 个结节作为训练-验证集,44 个结节作为测试集。选择逻辑回归和深度学习框架-DenseNets 来解决该任务。共进行了三个逻辑实验,以充分探索研究参数对诊断性能的影响。采用受试者工作特征曲线(ROC)评估构建模型的性能。

结果

在实验 A 和 B 中,放射组学方法未发现统计学显著结果,而 DL 方法有两个和六个对具有统计学显著差异(P < 0.05)。在实验 C 中,放射组学和 DL 方法分别在一个和四个模型中发现了显著差异。此外,在所有研究的 ASiR 水平下,DL 方法中标准卷积核数据构建的模型均优于骨卷积核数据构建的模型。在 DL 方法中,骨卷积核和标准卷积核分别在 B0 和 S60 中表现最佳。

结论

结果表明,DL 比放射组学对 CT 参数变化更敏感。标准卷积核图像似乎更适合成像分析。需要进一步进行更大样本量的研究。

https://cdn.ncbi.nlm.nih.gov/pmc/blobs/235b/6775016/24d54bf27831/TCA-10-1893-g001.jpg

文献AI研究员

20分钟写一篇综述,助力文献阅读效率提升50倍。

立即体验

用中文搜PubMed

大模型驱动的PubMed中文搜索引擎

马上搜索

文档翻译

学术文献翻译模型,支持多种主流文档格式。

立即体验