Suppr超能文献

卧推和俯卧撑中使用PUSH手环与线性编码器测量的运动学的有效性和可靠性

Validity and Reliability of Kinematics Measured with PUSH Band vs. Linear Encoder in Bench Press and Push-Ups.

作者信息

van den Tillaar Roland, Ball Nick

机构信息

Department of Sport Sciences and Physical Education, Nord University, 7601 Levanger, Norway.

Faculty of Health, Research Institute for Sport and Exercise Science, University of Canberra, Canberra 2601, Australia.

出版信息

Sports (Basel). 2019 Sep 10;7(9):207. doi: 10.3390/sports7090207.

Abstract

BACKGROUND

The aim of this study was to compare the validity and reliability of a PUSH band device with a linear encoder to measure movement velocity with different loads during the push-up and bench press exercises.

METHODS

Twenty resistance-trained athletes performed push-up and bench press exercises with four different loads: without weight vest, 10-20-30 kg weight vest, bench press: 50-82% of their assumed 1 repetition maximum (1 RM) in steps of 10 kg. A linear encoder (Musclelab) and the PUSH band measured mean and peak velocity during both exercises. Several statistical analyses were used to investigate the validity and reliability of the PUSH band with the linear encoder.

RESULTS

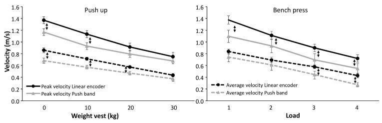
The main findings of this study demonstrated only moderate associations between the PUSH band and linear encoder for mean velocity (r = 0.62, 0.70) and peak velocity (r = 0.46, 0.49) for both exercises. Furthermore, a good level of agreement (peak velocity: ICC = 0.60, 0.64; mean velocity: ICC = 0.77, 0.78) was observed between the two measurement devices. However, a significant bias was found with lower velocity values measured with the PUSH band in both exercises. In the push-up, both the linear encoder and PUSH band were deemed very reliable (ICC > 0.98; the coefficient of variation (CV): 5.9-7.3%). Bench press reliability decreased for the PUSH band (ICC < 0.95), and the coefficient of variance increased to (12.8-13.3%) for the velocity measures. Calculated 1 RM with the two devices was the same for the push-up, while in bench press the PUSH band under-estimated the 1 RM by 14 kg compared to the linear encoder.

CONCLUSIONS

It was concluded that the PUSH band will show decreased reliability from velocity measures in a bench press exercise and underestimate load-velocity based 1 RM predictions. For training, the PUSH band can be used during push-ups, however caution is suggested when using the device for the purposes of feedback in bench press at increasing loads.

摘要

背景

本研究旨在比较一种带有线性编码器的PUSH健身带设备在俯卧撑和卧推练习中测量不同负荷下运动速度的有效性和可靠性。

方法

20名经过阻力训练的运动员进行俯卧撑和卧推练习,使用四种不同负荷:不穿负重背心、10 - 20 - 30千克负重背心,卧推:以10千克为步长,采用其假定的1次重复最大值(1RM)的50 - 82%。线性编码器(Musclelab)和PUSH健身带测量了两种练习中的平均速度和峰值速度。使用了几种统计分析方法来研究PUSH健身带与线性编码器的有效性和可靠性。

结果

本研究的主要发现表明,在两种练习中,PUSH健身带与线性编码器在平均速度(r = 0.62,0.70)和峰值速度(r = 0.46,0.49)方面仅存在中等程度的关联。此外,两种测量设备之间观察到良好的一致性水平(峰值速度:组内相关系数(ICC)= 0.60,0.64;平均速度:ICC = 0.77,0.78)。然而,在两种练习中均发现PUSH健身带测量的速度值较低存在显著偏差。在俯卧撑中,线性编码器和PUSH健身带均被认为非常可靠(ICC > 0.98;变异系数(CV):5.9 - 7.3%)。PUSH健身带在卧推中的可靠性降低(ICC < 0.

https://cdn.ncbi.nlm.nih.gov/pmc/blobs/4c1b/6784224/f6714f587d48/sports-07-00207-g001.jpg

文献AI研究员

20分钟写一篇综述,助力文献阅读效率提升50倍。

立即体验

用中文搜PubMed

大模型驱动的PubMed中文搜索引擎

马上搜索

文档翻译

学术文献翻译模型,支持多种主流文档格式。

立即体验