Suppr超能文献

通过调节固有层树突状细胞的功能状态,减轻三硝基苯磺酸诱导的小鼠肠易激综合征的肠道低度炎症。

alleviates intestinal low-grade inflammation in TNBS-induced irritable bowel syndrome in mice by regulating functional status of lamina propria dendritic cells.

机构信息

Department of Gastroenterology, Qilu Hospital, Shandong University, Jinan 250012, Shandong Province, China.

Department of Clinical Nutrition, Taian City Central Hospital, Taian 271000, Shandong Province, China.

出版信息

World J Gastroenterol. 2019 Sep 28;25(36):5469-5482. doi: 10.3748/wjg.v25.i36.5469.

Abstract

BACKGROUND

Irritable bowel syndrome (IBS) is one of the most common functional gas-troenterological diseases characterized by abnormal visceral sensitivity and low-grade inflammation. The role of () in reducing intestinal low-grade inflammation immune pathways has been well defined. However, the detailed mechanisms of the effects of on intestinal mucosal immunity, especially on immune cells of the lamina propria, remain unclear. Dendritic cells (DCs), which are important immune cells, secrete proinflammatory cytokines (IL-1β, IL-6, and others) and express T cell immuno-globulin and mucin domain-3 (TIM3), promoting proliferation and activation of DCs, and mediating Th1 and Th17 inflammatory responses.

AIM

To investigate the role of DCs in the development of IBS in a rat model and to understand the regulation of DCs after intervention.

METHODS

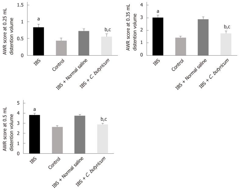
An IBS animal model was established using C57BL/6 mice, and was continuously administered the intragastric route to simulate different intestinal immune states. Intestinal visceral hypersensitivity and histopathology were assessed using the abdominal withdrawal reflex (AWR) test and hematoxylin & eosin (H&E) staining, respectively. The expression of proinflammatory cytokines (IL-1β and IL-6) and TIM3 was analyzed by Western blot analysis and real-time PCR. Flow cytometry was applied to analyze the quantity, function, and membrane molecule TIM3 of the lamina propria dendritic cells (LPDCs). The regulatory effect of was verified in bone marrow-derived dendritic cells by experiments.

RESULTS

The secretion of proinflammatory cytokines (IL-1β and IL-6) in mice with IBS was significantly increased compared with that of the control group, which suggested that the intestinal mucosa in mice with IBS was in a low-grade inflammatory state. The expression of CD11C+CD80+ and CD11c+TIM3+ in intestinal LPDCs in mice with IBS increased significantly. Meanwhile, the cytokines (IL-1β and IL-6) were significantly reduced after the intervention with probiotic . The amount and function of LPDCs and the TIM3 on the surface of the LPDCs were decreased with the alleviation of the intestinal inflammatory response.

CONCLUSION

The results suggest that regulates the amount and functional status of LPDCs in the intestinal mucosa of mice with IBS, and therefore modulates the local immune response in the intestine.

摘要

背景

肠易激综合征(IBS)是最常见的功能性胃肠病之一,其特征为内脏感觉异常和低度炎症。()在降低肠道低度炎症和免疫途径中的作用已得到充分证实。然而,()对肠道黏膜免疫,特别是对固有层免疫细胞的详细作用机制仍不清楚。树突状细胞(DCs)是重要的免疫细胞,其分泌促炎细胞因子(IL-1β、IL-6 等),并表达 T 细胞免疫球蛋白和粘蛋白域-3(TIM3),促进 DCs 的增殖和活化,并介导 Th1 和 Th17 炎症反应。

目的

在大鼠模型中研究 DCs 在 IBS 发展中的作用,并了解()干预后 DCs 的调节作用。

方法

采用 C57BL/6 小鼠建立 IBS 动物模型,并通过灌胃连续给予()模拟不同的肠道免疫状态。通过腹壁退缩反射(AWR)试验和苏木精和伊红(H&E)染色分别评估肠道内脏敏感性和组织病理学变化。采用 Western blot 分析和实时 PCR 分析促炎细胞因子(IL-1β 和 IL-6)和 TIM3 的表达。采用流式细胞术分析固有层树突状细胞(LPDCs)的数量、功能和膜分子 TIM3。通过骨髓源性树突状细胞(BMDCs)实验验证()的调节作用。

结果

与对照组相比,IBS 小鼠的促炎细胞因子(IL-1β 和 IL-6)分泌显著增加,提示 IBS 小鼠的肠道黏膜处于低度炎症状态。IBS 小鼠肠道 LPDCs 中 CD11C+CD80+和 CD11c+TIM3+的表达显著增加。同时,益生菌干预后,肠道 LPDCs 中的细胞因子(IL-1β 和 IL-6)显著减少。随着肠道炎症反应的缓解,LPDCs 的数量和功能以及 LPDCs 表面的 TIM3 减少。

结论

结果表明,()调节 IBS 小鼠肠道黏膜中 LPDCs 的数量和功能状态,从而调节肠道局部免疫反应。

https://cdn.ncbi.nlm.nih.gov/pmc/blobs/294b/6767978/0e6e0574d202/WJG-25-5469-g001.jpg

文献AI研究员

20分钟写一篇综述,助力文献阅读效率提升50倍。

立即体验

用中文搜PubMed

大模型驱动的PubMed中文搜索引擎

马上搜索

文档翻译

学术文献翻译模型,支持多种主流文档格式。

立即体验