Suppr超能文献

采用倾向评分加权回归评估青光眼治疗对眼压降低的效果。

Evaluating Glaucoma Treatment Effect on Intraocular Pressure Reduction Using Propensity Score Weighted Regression.

机构信息

Department of Ophthalmology, New York University (NYU) School of Medicine, NYU Langone Health, New York, NY, USA.

Department of Population Health, NYU School of Medicine, NYU Langone Health, New York, NY, USA.

出版信息

Sci Rep. 2019 Oct 29;9(1):15496. doi: 10.1038/s41598-019-52052-5.

Abstract

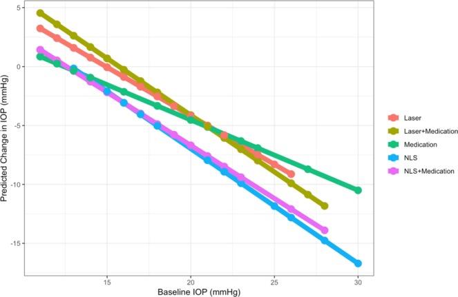
Observational studies in glaucoma patients can provide important evidence on treatment effects, especially for combination therapies which are often used in reality. But the success relies on the reduction of selection bias through methods such as propensity score (PS) weighting. The objective of this study was to assess the effects of five glaucoma treatments (medication, laser, non-laser surgery (NLS), laser + medication, and NLS + medication) on 1-year intraocular pressure (IOP) change. Data were collected from 90 glaucoma subjects who underwent a single laser, or NLS intervention, and/or took the same medication for at least 6 months, and had IOP measures before the treatment and 12-months after. Baseline IOP was significantly different across groups (p = 0.007) and this unbalance was successfully corrected by the PS weighting (p = 0.81). All groups showed statistically significant PS-weighted IOP reductions, with the largest reduction in NLS group (-6.78 mmHg). Baseline IOP significantly interacted with treatments (p = 0.03), and at high baseline IOP medication was less effective than other treatments. Our findings showed that the 1-year IOP reduction differed across treatment groups and was dependent on baseline IOP. The use of PS-weighted methods reduced treatment selection bias at baseline and allowed valid assessment of the treatment effect in an observational study.

摘要

观察性研究可以为青光眼患者的治疗效果提供重要证据,特别是对于联合治疗,因为联合治疗在现实中经常使用。但成功依赖于通过倾向评分(PS)加权等方法来减少选择偏差。本研究旨在评估五种青光眼治疗方法(药物治疗、激光治疗、非激光手术(NLS)、激光+药物治疗和 NLS+药物治疗)对 1 年眼内压(IOP)变化的影响。研究数据来自 90 名接受单一激光或 NLS 干预,以及(或)至少服用同一种药物治疗 6 个月以上,并且在治疗前和治疗后 12 个月有 IOP 测量值的青光眼患者。基线 IOP 在各组之间存在显著差异(p=0.007),PS 加权成功纠正了这种不平衡(p=0.81)。所有组均显示出统计学上显著的 PS 加权 IOP 降低,NLS 组的降低幅度最大(-6.78mmHg)。基线 IOP 与治疗显著相互作用(p=0.03),在高基线 IOP 时药物治疗的效果不如其他治疗。我们的研究结果表明,治疗组之间的 1 年 IOP 降低存在差异,并且取决于基线 IOP。PS 加权方法的使用减少了基线的治疗选择偏差,并允许在观察性研究中对治疗效果进行有效评估。

https://cdn.ncbi.nlm.nih.gov/pmc/blobs/44a0/6820863/abf808163130/41598_2019_52052_Fig1_HTML.jpg

文献AI研究员

20分钟写一篇综述,助力文献阅读效率提升50倍。

立即体验

用中文搜PubMed

大模型驱动的PubMed中文搜索引擎

马上搜索

文档翻译

学术文献翻译模型,支持多种主流文档格式。

立即体验