Zhao Xin-Dong, Zhao Hong, Sun Wei-Feng
Key Laboratory of Engineering Dielectrics and Its Application, Ministry of Education, School of Electrical and Electronic Engineering, Harbin University of Science and Technology, Harbin 150080, China.
Polymers (Basel). 2020 Jan 1;12(1):62. doi: 10.3390/polym12010062.
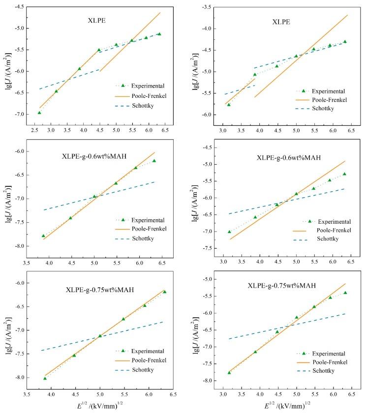
Direct current (DC) electrical performances of crosslinked polyethylene (XLPE) have been evidently improved by developing graft modification technique with ultraviolet (UV) photon-initiation. Maleic anhydride (MAH) molecules with characteristic cyclic anhydride were successfully grafted to polyethylene molecules under UV irradiation, which can be efficiently realized in industrial cable production. The complying laws of electrical current varying with electric field and the Weibull statistics of dielectric breakdown strength at altered temperature for cable operation were analyzed to study the underlying mechanism of improving electrical insulation performances. Compared with pure XLPE, the appreciably decreased electrical conductivity and enhanced breakdown strength were achieved in XLPE-graft-MAH. The critical electric fields of the electrical conduction altering from ohm conductance to trap-limited mechanism significantly decrease with the increased testing temperature, which, however, can be remarkably raised by grafting MAH. At elevated temperatures, the dominant carrier transport mechanism of pure XLPE alters from Poole-Frenkel effect to Schottky injection, while and XLPE-graft-MAH materials persist in the electrical conductance dominated by Poole-Frenkel effect. The polar group of grafted MAH renders deep traps for charge carriers in XLPE-graft-MAH, and accordingly elevate the charge injection barrier and reduce charge mobility, resulting in the suppression of DC electrical conductance and the remarkable amelioration of insulation strength. The well agreement of experimental results with the quantum mechanics calculations suggests a prospective strategy of UV initiation for polar-molecule-grafting modification in the development of high-voltage DC cable materials.
通过开发紫外线(UV)光子引发的接枝改性技术,交联聚乙烯(XLPE)的直流(DC)电气性能得到了显著改善。在紫外线照射下,具有特征性环状酸酐的马来酸酐(MAH)分子成功地接枝到聚乙烯分子上,这在工业电缆生产中能够高效实现。分析了电流随电场变化的规律以及电缆运行在不同温度下介电击穿强度的威布尔统计数据,以研究改善电绝缘性能的潜在机制。与纯XLPE相比,接枝MAH的XLPE的电导率明显降低,击穿强度提高。从欧姆电导转变为陷阱限制机制的导电临界电场随着测试温度的升高而显著降低,然而,通过接枝MAH可以显著提高该临界电场。在高温下,纯XLPE的主导载流子传输机制从普尔-弗伦克尔效应转变为肖特基注入,而接枝MAH的XLPE材料的电导仍以普尔-弗伦克尔效应为主。接枝的MAH的极性基团为接枝MAH的XLPE中的载流子提供了深陷阱,从而提高了电荷注入势垒并降低了电荷迁移率,导致直流电导率受到抑制,绝缘强度显著改善。实验结果与量子力学计算的良好吻合表明,在高压直流电缆材料开发中,紫外线引发极性分子接枝改性是一种有前景的策略。