Suppr超能文献

钴催化硼酸与 P(O)H 化合物在锌存在下的交叉偶联形成 C-P 键。

Cobalt Catalyzed C-P Bond Formation by Cross-Coupling of Boronic Acids with P(O)H Compounds in Presence of Zinc.

机构信息

Department of Chemistry, College of Science and Health, William Paterson University, 300 Pompton Road, Wayne, NJ 07470, USA.

出版信息

Molecules. 2020 Jan 10;25(2):290. doi: 10.3390/molecules25020290.

Abstract

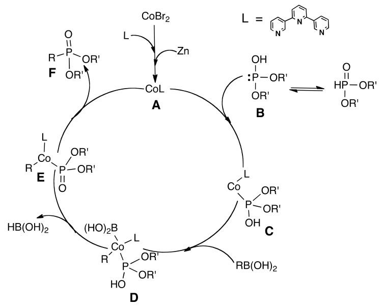
In our current work, we have reported the first cobalt-catalyzed cross-coupling of arylboronic acid with alkyl/aryl phosphites under mild conditions. The reaction was carried out in the presence of zinc powder as an additive and ter-pyridine as a ligand. The use of non-precious cobalt salt makes the protocol advantageous, as it is inexpensive and more abundant than the previously used methods where precious metal salts (Pd and Pt) were used. The reaction has a wide substrate scope and the products were obtained in good yields.

摘要

在我们目前的工作中,我们报道了首例钴催化的芳基硼酸与烷基/芳基膦酸酯在温和条件下的交叉偶联反应。该反应在锌粉作为添加剂和三吡啶作为配体的存在下进行。使用非贵金属钴盐使该方案具有优势,因为它比以前使用的贵金属盐(Pd 和 Pt)的方法更便宜且更丰富。该反应具有广泛的底物范围,并且以良好的收率得到了产物。

https://cdn.ncbi.nlm.nih.gov/pmc/blobs/7bb9/7024388/4db939c6e29d/molecules-25-00290-sch001.jpg

文献AI研究员

20分钟写一篇综述,助力文献阅读效率提升50倍。

立即体验

用中文搜PubMed

大模型驱动的PubMed中文搜索引擎

马上搜索

文档翻译

学术文献翻译模型,支持多种主流文档格式。

立即体验