Suppr超能文献

同步经动脉化疗栓塞术与射频消融术治疗大肝癌

Simultaneous transarterial chemoembolization and radiofrequency ablation for large hepatocellular carcinoma.

作者信息

Duan Feng, Bai Yan-Hua, Cui Li, Li Xiao-Hui, Yan Jie-Yu, Wang Mao-Qiang

机构信息

Department of Interventional Radiology, General Hospital of Chinese People's Liberation Army, Beijing 100853, China.

出版信息

World J Gastrointest Oncol. 2020 Jan 15;12(1):92-100. doi: 10.4251/wjgo.v12.i1.92.

Abstract

BACKGROUND

Hepatocellular carcinoma (HCC) is a common cancer and a leading cause of tumor-related death. Patients with large HCC (≥ 8 cm) are at an advanced stage and have poor prognosis, and hepatic resection may not be suitable, and the incidence of postoperative recurrence is high.

AIM

To evaluate recurrence and mid-term survival of patients with large HCC treated by transcatheter arterial chemoembolization (TACE) and radiofrequency ablation (RFA).

METHODS

This was a retrospective study. From 2010 to 2013, 46 consecutive patients with large HCC were treated with simultaneous TACE and RFA. Thirty-five of 46 patients had a single tumor. Progression-free survival (PFS) and overall survival (OS) were analyzed at 2 years and 3 years, respectively.

RESULTS

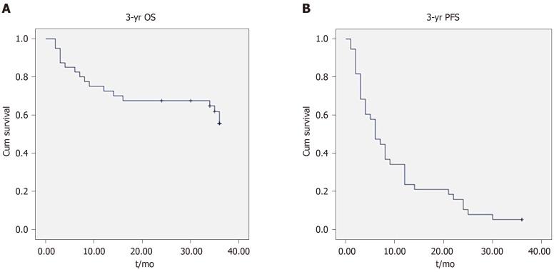
Forty-six patients treated by simultaneous TACE and RFA had no significant complications and treatment was successful. After 3 years, median PFS and OS were 10.21 ± 1.58 mo and 26.44 ± 2.26 mo, retrospectively. The survival rate was 67.5% after 2 years and 55.67% after 3 years.

CONCLUSION

These preliminary data show that simultaneous TACE and RFA are safe and effective for large HCC.

摘要

背景

肝细胞癌(HCC)是一种常见癌症,也是肿瘤相关死亡的主要原因。大肝癌(≥8 cm)患者处于晚期,预后较差,肝切除术可能并不适用,且术后复发率较高。

目的

评估经动脉化疗栓塞术(TACE)联合射频消融术(RFA)治疗大肝癌患者的复发情况及中期生存率。

方法

这是一项回顾性研究。2010年至2013年,连续46例大肝癌患者接受了TACE与RFA同步治疗。46例患者中有35例为单发肿瘤。分别在2年和3年时分析无进展生存期(PFS)和总生存期(OS)。

结果

46例接受TACE与RFA同步治疗的患者无明显并发症,治疗成功。回顾性分析显示,3年后,中位PFS和OS分别为10.21±1.58个月和26.44±2.26个月。2年生存率为67.5%,3年生存率为55.67%。

结论

这些初步数据表明,TACE与RFA同步治疗大肝癌安全有效。

https://cdn.ncbi.nlm.nih.gov/pmc/blobs/7375/6960077/360f755d53d6/WJGO-12-92-g001.jpg

文献AI研究员

20分钟写一篇综述,助力文献阅读效率提升50倍。

立即体验

用中文搜PubMed

大模型驱动的PubMed中文搜索引擎

马上搜索

文档翻译

学术文献翻译模型,支持多种主流文档格式。

立即体验