Department of Cardiology, Medical University of Bialystok, 15-089 Bialystok, Poland.
Department of Medical Sciences, Lomza State University of Applied Sciences, 18-400 Lomza, Poland.
Int J Mol Sci. 2020 Jan 22;21(3):737. doi: 10.3390/ijms21030737.
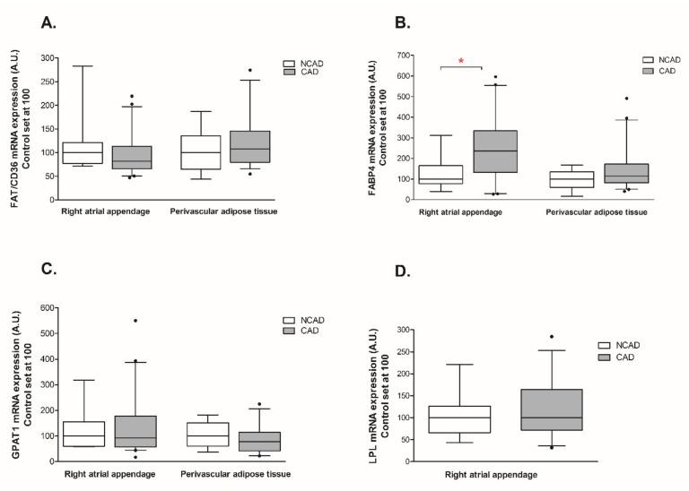
The aim of our study was to examine the regulation of triacylglycerols (TG) metabolism in myocardium and heart perivascular adipose tissue in coronary atherosclerosis. Adipose triglyceride lipase (ATGL) is the major TG-hydrolase. The enzyme is activated by a protein called comparative gene identification 58 (CGI-58) and inhibited by a protein called G0/G1 switch protein 2 (G0S2). Samples of the right atrial appendage and perivascular adipose tissue were obtained from two groups of patients: 1-with multivessel coronary artery disease qualified for coronary artery bypass grafting (CAD), 2-patients with no atherosclerosis qualified for a valve replacement (NCAD). The mRNA and protein analysis of ATGL, HSL, CGI-58, G0S2, FABP4, FAT/CD36, LPL, β-HAD, CS, COX4/1, FAS, SREBP-1c, GPAT1, COX-2, 15-LO, and NFκβ were determined by using real-time PCR and Western Blot. The level of lipids (i.e., TG, diacylglycerol (DG), and FFA) was examined by GLC. We demonstrated that in myocardium coronary atherosclerosis increases only the transcript level of G0S2 and FABP4. Most importantly, ATGL, β-HAD, and COX4/1 protein expression was reduced and it was accompanied by over double the elevation in TG content in the CAD group. The fatty acid synthesis and their cellular uptake were stable in the myocardium of patients with CAD. Additionally, the expression of proteins contributing to inflammation was increased in the myocardium of patients with coronary stenosis. Finally, in the perivascular adipose tissue, the mRNA of G0S2 was elevated, whereas the protein content of FABP-4 was increased and for COX4/1 diminished. These data suggest that a reduction in ATGL protein expression leads to myocardial steatosis in patients with CAD.
我们的研究目的是研究冠状动脉粥样硬化中心肌和心脏血管周围脂肪组织中三酰基甘油(TG)代谢的调节。脂肪甘油三酯脂肪酶(ATGL)是主要的 TG 水解酶。该酶被一种称为比较基因鉴定 58(CGI-58)的蛋白激活,并被一种称为 G0/G1 开关蛋白 2(G0S2)的蛋白抑制。右心房附件和血管周围脂肪组织的样本取自两组患者:1-患有多支冠状动脉疾病,有资格进行冠状动脉旁路移植术(CAD),2-患有非动脉粥样硬化,有资格进行瓣膜置换术(NCAD)。通过实时 PCR 和 Western Blot 分析 ATGL、HSL、CGI-58、G0S2、FABP4、FAT/CD36、LPL、β-HAD、CS、COX4/1、FAS、SREBP-1c、GPAT1、COX-2、15-LO 和 NFκβ 的 mRNA 和蛋白。通过 GLC 检查脂质(即 TG、二酰基甘油(DG)和 FFA)的水平。我们表明,在心肌中,冠状动脉粥样硬化仅增加 G0S2 和 FABP4 的转录水平。最重要的是,ATGL、β-HAD 和 COX4/1 蛋白表达减少,同时 CAD 组 TG 含量增加了一倍以上。CAD 患者心肌中的脂肪酸合成及其细胞摄取保持稳定。此外,冠状动脉狭窄患者心肌中参与炎症的蛋白表达增加。最后,在血管周围脂肪组织中,G0S2 的 mRNA 升高,而 FABP-4 的蛋白含量增加,COX4/1 的蛋白含量减少。这些数据表明,ATGL 蛋白表达减少导致 CAD 患者心肌脂肪变性。