Department of Neurosurgery & Brain and Nerve Research Laboratory, The First Affiliated Hospital of Soochow University, 188 Shizi Street, Suzhou, Jiangsu Province, 215006, China.
Department of Cardiology, The First Affiliated Hospital of Soochow University, Suzhou, Jiangsu Province, 215006, China.
J Headache Pain. 2020 Feb 11;21(1):14. doi: 10.1186/s10194-020-1085-x.
Galcanezumab is a novel monoclonal antibody that target to calcitonin gene-related peptide (CGRP). It has been tested for the preventive treatment of migraine and episodic cluster headache by multiple randomized clinical trials (RCTs) and have been found to reduce headache frequency.
We systematically searched PubMed and Embase on Cochrane Central Register of Controlled Trials (CENTRAL) from the earliest date to August 1, 2019. Relative risk (RR) and weighted mean difference (WMD) were used to evaluate clinical outcomes.
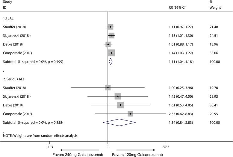
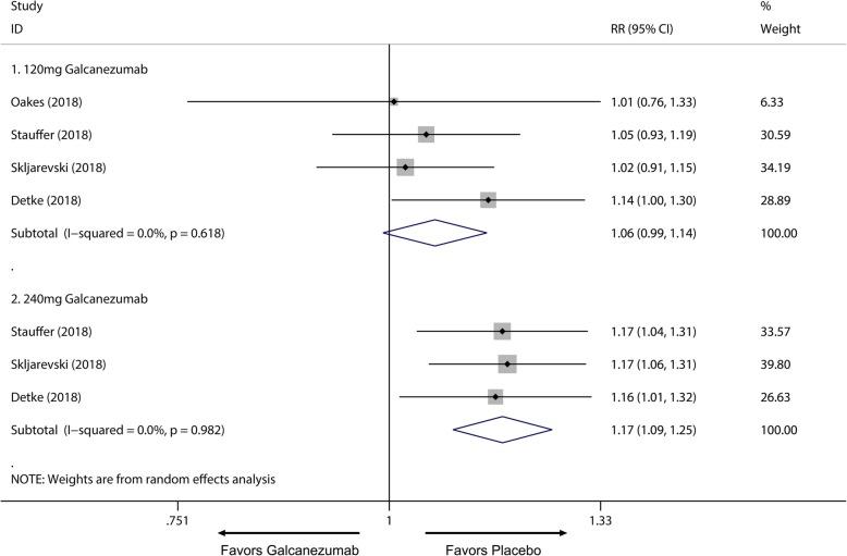
Seven studies were pooled with 3889 patients. Subcutaneous injection of Galcanezumab at 120 mg, 240 mg leads to a statistically significant response rate for the treatment of migraine compared with placebo (120 mg: RR = 1.51; 95% CI, 1.33 to 1.70; P < 0.001; 240 mg: RR = 1.58; 95% CI, 1.43 to 1.76; P < 0.001). Among them, 120 mg group has the same treatment efficacy with 240 mg group (50% response: RR = 1.06; 95% CI, 0.92 to 1.22; P = 0.425; 75% response: RR = 1.07; 95% CI, 0.94 to 1.23; P = 0.301; 100% response; RR = 1.06; 95% CI, 0.81 to 1.37; P = 0.682; MHD: RR = - 0.08; 95% CI, - 0.55 to - 0.40; P = 0.748) while related to a lower risk for adverse events for the treatment of migraine (120 mg RR = 1.06; 95% CI, 0.99 to 1.14; P = 0.084; 240 mg: RR = 1.17; 95% CI, 1.09 to 1.25; P < 0.001). 300 mg per month galcanezumab is effective for the prevention of episodic cluster headache measured by at least 50% reduction of cluster headache frequency at week 3 (RR = 1.36; 95% CI, 1.00-1.84; P = 0.048).
Use of galcanezumab is related to a significantly reduced monthly headache frequency compared with placebo for the treatment of migraine and episodic cluster headache, 120 mg has the same treatment efficacy with 240 mg group while related to a lower risk for adverse effects for the treatment of migraine. 300 mg per month galcanezumab is effective for the prevention of episodic cluster headache with no significantly increased adverse events.
加奈珠单抗是一种新型的靶向降钙素基因相关肽(CGRP)的单克隆抗体。多项随机临床试验(RCT)已经证实其可用于偏头痛和发作性丛集性头痛的预防性治疗,可以减少头痛发作频率。
我们系统地检索了 Cochrane 对照试验中心注册数据库(CENTRAL)、PubMed 和 Embase 数据库,检索时间截至 2019 年 8 月 1 日。采用相对风险(RR)和加权均数差(WMD)评估临床结局。
纳入 7 项研究,共 3889 例患者。与安慰剂相比,皮下注射 120mg 和 240mg 加奈珠单抗治疗偏头痛的应答率有统计学意义(120mg:RR=1.51;95%CI,1.33 至 1.70;P<0.001;240mg:RR=1.58;95%CI,1.43 至 1.76;P<0.001)。其中,120mg 组与 240mg 组的治疗效果相同(50%应答:RR=1.06;95%CI,0.92 至 1.22;P=0.425;75%应答:RR=1.07;95%CI,0.94 至 1.23;P=0.301;100%应答:RR=1.06;95%CI,0.81 至 1.37;P=0.682;MHD:RR=-0.08;95%CI,-0.55 至-0.40;P=0.748),同时与偏头痛治疗相关的不良反应风险较低(120mg:RR=1.06;95%CI,0.99 至 1.14;P=0.084;240mg:RR=1.17;95%CI,1.09 至 1.25;P<0.001)。每月 300mg 加奈珠单抗可有效预防丛集性头痛,治疗第 3 周时头痛频率至少减少 50%的应答率为 1.36(95%CI,1.00 至 1.84;P=0.048)。
与安慰剂相比,使用加奈珠单抗治疗偏头痛和发作性丛集性头痛可显著降低每月头痛发作频率,120mg 组与 240mg 组的治疗效果相同,而与偏头痛治疗相关的不良反应风险较低。每月 300mg 加奈珠单抗可有效预防丛集性头痛,且不良反应无显著增加。