• 文献检索
  • 文档翻译
  • 深度研究
  • 学术资讯
  • Suppr Zotero 插件Zotero 插件
  • 邀请有礼
  • 套餐&价格
  • 历史记录
应用&插件
Suppr Zotero 插件Zotero 插件浏览器插件Mac 客户端Windows 客户端微信小程序
定价
高级版会员购买积分包购买API积分包
服务
文献检索文档翻译深度研究API 文档MCP 服务
关于我们
关于 Suppr公司介绍联系我们用户协议隐私条款
关注我们

Suppr 超能文献

核心技术专利:CN118964589B侵权必究
粤ICP备2023148730 号-1Suppr @ 2026

文献检索

告别复杂PubMed语法,用中文像聊天一样搜索,搜遍4000万医学文献。AI智能推荐,让科研检索更轻松。

立即免费搜索

文件翻译

保留排版,准确专业,支持PDF/Word/PPT等文件格式,支持 12+语言互译。

免费翻译文档

深度研究

AI帮你快速写综述,25分钟生成高质量综述,智能提取关键信息,辅助科研写作。

立即免费体验

地中海地区海上运输造成的健康影响估算和使用更清洁燃料带来的效益。

Estimated health impacts from maritime transport in the Mediterranean region and benefits from the use of cleaner fuels.

机构信息

Institute of Environmental Assessment and Water Research (IDAEA-CSIC), Barcelona, Spain.

Department of Civil and Mechanical Engineering, University of Cassino and Southern Lazio, Cassino (FR), Italy.

出版信息

Environ Int. 2020 May;138:105670. doi: 10.1016/j.envint.2020.105670. Epub 2020 Mar 20.

DOI:10.1016/j.envint.2020.105670
PMID:32203802
原文链接:https://pmc.ncbi.nlm.nih.gov/articles/PMC8314305/
Abstract

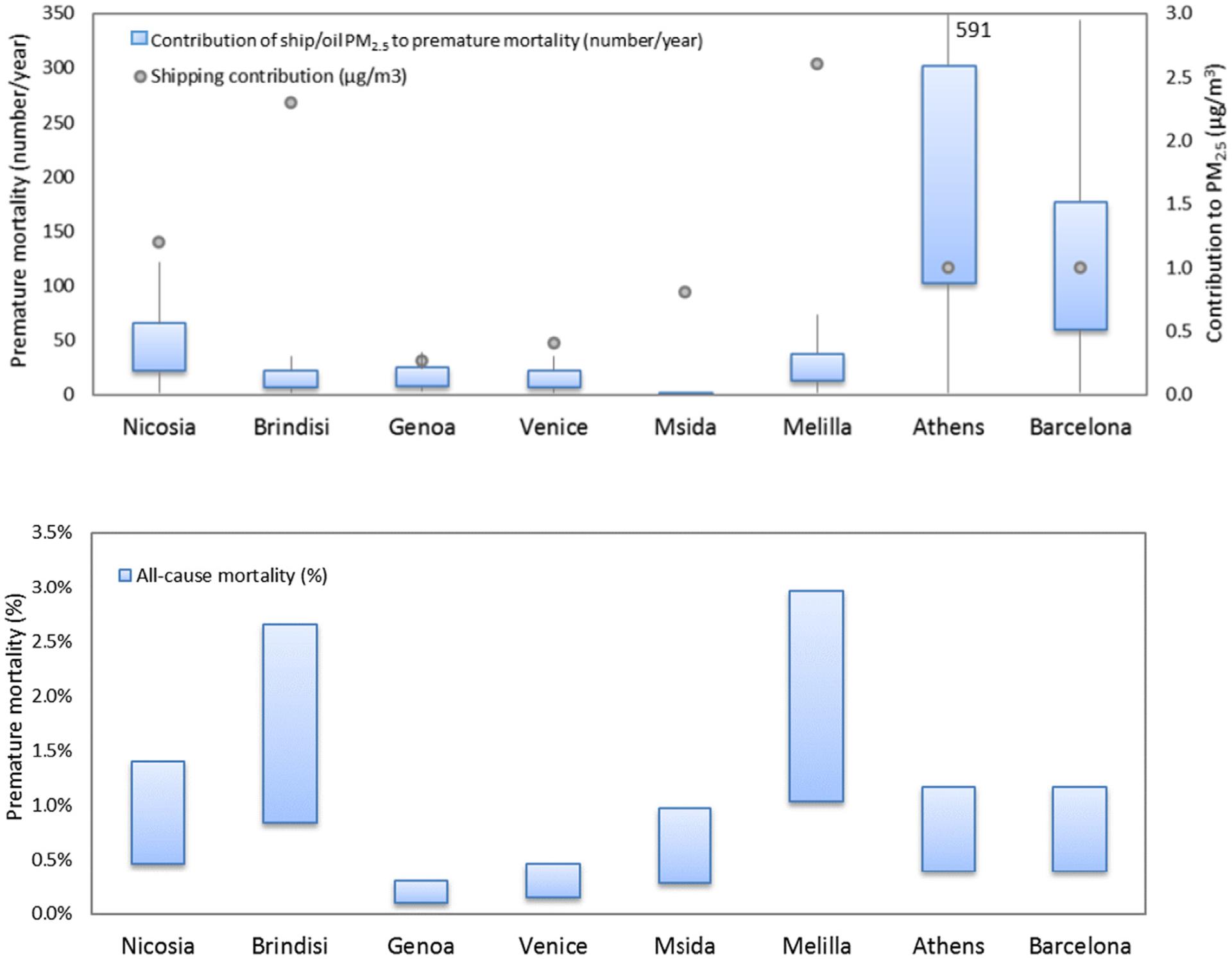
Ship traffic emissions degrade air quality in coastal areas and contribute to climate impacts globally. The estimated health burden of exposure to shipping emissions in coastal areas may inform policy makers as they seek to reduce exposure and associated potential health impacts. This work estimates the PM-attributable impacts in the form of premature mortality and cardiovascular and respiratory hospital admissions, from long-term exposure to shipping emissions. Health impact assessment (HIA) was performed in 8 Mediterranean coastal cities, using a baseline conditions from the literature and a policy case accounting for the MARPOL Annex VI rules requiring cleaner fuels in 2020. Input data were (a) shipping contributions to ambient PM concentrations based on receptor modelling studies found in the literature, (b) population and health incidence data from national statistical registries, and (c) geographically-relevant concentration-response functions from the literature. Long-term exposure to ship-sourced PM accounted for 430 (95% CI: 220-650) premature deaths per year, in the 8 cities, distributed between groups of cities: Barcelona and Athens, with >100 premature deaths/year, and Nicosia, Brindisi, Genoa, Venice, Msida and Melilla, with tens of premature deaths/year. The more stringent standards in 2020 would reduce the number of PM-attributable premature deaths by 15% on average. HIA provided a comparative assessment of the health burden of shipping emissions across Mediterranean coastal cities, which may provide decision support for urban planning with a special focus on harbour areas, and in view of the reduction in sulphur content of marine fuels due to MARPOL Annex VI in 2020.

摘要

船舶交通排放物会降低沿海地区的空气质量,并对全球气候产生影响。评估在沿海地区接触航运排放物的健康负担,可帮助决策者减少接触并降低相关的潜在健康影响。本研究旨在评估长期接触航运排放物导致的 PM 相关影响,包括过早死亡和心血管及呼吸道疾病入院人数。在 8 个地中海沿海城市进行了健康影响评估 (HIA),使用文献中的基础条件和政策案例进行分析,该政策案例考虑了 MARPOL 附则 VI 中要求在 2020 年使用更清洁燃料的规定。输入数据包括:(a) 基于文献中受体模型研究得出的船舶对环境 PM 浓度的贡献;(b) 来自国家统计登记处的人口和健康发病率数据;(c) 文献中与地理位置相关的浓度-反应函数。8 个城市中,船舶来源的 PM 长期暴露每年导致 430 例(95%CI:220-650)过早死亡,分布在以下城市组中:巴塞罗那和雅典的过早死亡人数超过 100 人/年,而尼科西亚、布林迪西、热那亚、威尼斯、马耳他、梅利利亚的过早死亡人数则为数十人/年。2020 年更严格的标准将使 PM 归因过早死亡人数平均减少 15%。HIA 对地中海沿海城市的航运排放物的健康负担进行了比较评估,这可能为港口区域的城市规划提供决策支持,同时也考虑到 2020 年 MARPOL 附则 VI 对海洋燃料中硫含量的降低。

https://cdn.ncbi.nlm.nih.gov/pmc/blobs/7813/8314305/0336982f36c7/nihms-1724961-f0004.jpg
https://cdn.ncbi.nlm.nih.gov/pmc/blobs/7813/8314305/fa95bb857ea5/nihms-1724961-f0001.jpg
https://cdn.ncbi.nlm.nih.gov/pmc/blobs/7813/8314305/0b6566e5b347/nihms-1724961-f0002.jpg
https://cdn.ncbi.nlm.nih.gov/pmc/blobs/7813/8314305/f538ed772b52/nihms-1724961-f0003.jpg
https://cdn.ncbi.nlm.nih.gov/pmc/blobs/7813/8314305/0336982f36c7/nihms-1724961-f0004.jpg
https://cdn.ncbi.nlm.nih.gov/pmc/blobs/7813/8314305/fa95bb857ea5/nihms-1724961-f0001.jpg
https://cdn.ncbi.nlm.nih.gov/pmc/blobs/7813/8314305/0b6566e5b347/nihms-1724961-f0002.jpg
https://cdn.ncbi.nlm.nih.gov/pmc/blobs/7813/8314305/f538ed772b52/nihms-1724961-f0003.jpg
https://cdn.ncbi.nlm.nih.gov/pmc/blobs/7813/8314305/0336982f36c7/nihms-1724961-f0004.jpg

相似文献

1
Estimated health impacts from maritime transport in the Mediterranean region and benefits from the use of cleaner fuels.地中海地区海上运输造成的健康影响估算和使用更清洁燃料带来的效益。
Environ Int. 2020 May;138:105670. doi: 10.1016/j.envint.2020.105670. Epub 2020 Mar 20.
2
Health impact assessments of shipping and port-sourced air pollution on a global scale: A scoping literature review.航运和港口源空气污染对全球的健康影响评估:范围文献综述。
Environ Res. 2023 Jan 1;216(Pt 1):114460. doi: 10.1016/j.envres.2022.114460. Epub 2022 Sep 30.
3
The 2023 Latin America report of the Countdown on health and climate change: the imperative for health-centred climate-resilient development.《2023年健康与气候变化倒计时拉丁美洲报告:以健康为中心的气候适应型发展的必要性》
Lancet Reg Health Am. 2024 Apr 23;33:100746. doi: 10.1016/j.lana.2024.100746. eCollection 2024 May.
4
The contribution of motor vehicle emissions to ambient fine particulate matter public health impacts in New York City: a health burden assessment.机动车排放对纽约市环境细颗粒物公共健康影响的贡献:一项健康负担评估。
Environ Health. 2016 Aug 26;15(1):89. doi: 10.1186/s12940-016-0172-6.
5
Development of the Low Emissions Analysis Platform - Integrated Benefits Calculator (LEAP-IBC) tool to assess air quality and climate co-benefits: Application for Bangladesh.开发低排放分析平台 - 综合效益计算器 (LEAP-IBC) 工具以评估空气质量和气候协同效益:孟加拉国的应用。
Environ Int. 2020 Dec;145:106155. doi: 10.1016/j.envint.2020.106155. Epub 2020 Oct 4.
6
Comparison of the impact of ships to size-segregated particle concentrations in two harbour cities of northern Adriatic Sea.比较两个亚得里亚海北部港口城市中船舶对不同粒径颗粒物浓度的影响。
Environ Pollut. 2020 Nov;266(Pt 3):115175. doi: 10.1016/j.envpol.2020.115175. Epub 2020 Jul 9.
7
Potential health benefits of eliminating traffic emissions in urban areas.消除城市交通排放物的潜在健康益处。
PLoS One. 2022 Mar 8;17(3):e0264803. doi: 10.1371/journal.pone.0264803. eCollection 2022.
8
Estimating the health and economic burden of shipping related air pollution in the Iberian Peninsula.估算伊比利亚半岛航运相关空气污染对健康和经济造成的负担。
Environ Int. 2021 Nov;156:106763. doi: 10.1016/j.envint.2021.106763. Epub 2021 Jul 16.
9
Cleaner fuels for ships provide public health benefits with climate tradeoffs.船舶使用更清洁的燃料虽能带来气候方面的好处,但也存在健康方面的权衡。
Nat Commun. 2018 Feb 6;9(1):406. doi: 10.1038/s41467-017-02774-9.
10
Non-negligible contributions to human health from increased household air pollution exposure during the COVID-19 lockdown in China.新冠疫情封锁期间中国家庭空气污染暴露增加对人类健康有不可忽视的影响。
Environ Int. 2022 Jan;158:106918. doi: 10.1016/j.envint.2021.106918. Epub 2021 Oct 6.

引用本文的文献

1
Uncharted Waters: Effects of Maritime Emission Regulation.未知水域:海事排放法规的影响
Am Econ J Econ Policy. 2025 Feb;17(1):37-69. doi: 10.1257/pol.20220626.
2
Health impact assessment of port-sourced air pollution in Barcelona.巴塞罗那港口源空气污染的健康影响评估。
PLoS One. 2024 Aug 30;19(8):e0305236. doi: 10.1371/journal.pone.0305236. eCollection 2024.
3
Environmental Justice and Systems Analysis for Air Quality Planning in the Port of Oakland in California.加利福尼亚州奥克兰港的空气质量规划中的环境公正和系统分析。

本文引用的文献

1
Transport impacts on atmosphere and climate: Aviation.交通对大气和气候的影响:航空业
Atmos Environ (1994). 2010 Dec;44(37):4678-4734. doi: 10.1016/j.atmosenv.2009.06.005. Epub 2009 Jun 12.
2
Impact of harbour activities on local air quality: A review.港口活动对当地空气质量的影响:综述。
Environ Pollut. 2020 Feb;257:113542. doi: 10.1016/j.envpol.2019.113542. Epub 2019 Nov 1.
3
Global Effect Factors for Exposure to Fine Particulate Matter.全球细颗粒物暴露的影响因素。
Environ Sci Technol. 2024 May 14;58(19):8135-8148. doi: 10.1021/acs.est.3c07728. Epub 2024 May 2.
4
Measurement and Modeling of Ship-Related Ultrafine Particles and Secondary Organic Aerosols in a Mediterranean Port City.地中海港口城市中与船舶相关的超细颗粒物和二次有机气溶胶的测量与建模
Toxics. 2023 Sep 11;11(9):771. doi: 10.3390/toxics11090771.
5
Impact of shipping emissions regulation on urban aerosol composition changes revealed by receptor and numerical modelling.受体和数值模拟揭示航运排放法规对城市气溶胶成分变化的影响
NPJ Clim Atmos Sci. 2023;6(1):52. doi: 10.1038/s41612-023-00364-9. Epub 2023 May 29.
6
A city-level analysis of PM pollution, climate and COVID-19 early spread in Spain.西班牙城市层面的细颗粒物污染、气候与新冠疫情早期传播分析。
J Environ Health Sci Eng. 2022 Jan 6;20(1):395-403. doi: 10.1007/s40201-022-00786-2. eCollection 2022 Jun.
7
Potential and limiting factors in the use of alternative fuels in the European maritime sector.欧洲海事部门使用替代燃料的潜在因素和限制因素。
J Clean Prod. 2021 Apr 1;291:125849. doi: 10.1016/j.jclepro.2021.125849.
8
Health Impact of Air Pollution from Shipping in the Baltic Sea: Effects of Different Spatial Resolutions in Sweden.波罗的海航运造成的空气污染对健康的影响:瑞典不同空间分辨率的影响。
Int J Environ Res Public Health. 2020 Oct 29;17(21):7963. doi: 10.3390/ijerph17217963.
Environ Sci Technol. 2019 Jun 18;53(12):6855-6868. doi: 10.1021/acs.est.9b01800. Epub 2019 Jun 4.
4
Assessment of source contribution to air quality in an urban area close to a harbor: Case-study in Porto, Portugal.评估靠近港口的城市地区空气质量的污染源:以葡萄牙波尔图为例的案例研究。
Sci Total Environ. 2019 Apr 20;662:347-360. doi: 10.1016/j.scitotenv.2019.01.185. Epub 2019 Jan 16.
5
Environmental and social valuation of shipping emissions on four ports of Portugal.葡萄牙四个港口航运排放的环境和社会价值评估。
J Environ Manage. 2019 Apr 1;235:62-69. doi: 10.1016/j.jenvman.2019.01.039. Epub 2019 Jan 21.
6
Influence of ship emissions on NO, SO, O and PM concentrations in a North-Sea harbor in France.船舶排放对法国北海港口内 NO、SO、O 和 PM 浓度的影响。
J Environ Sci (China). 2018 Sep;71:56-66. doi: 10.1016/j.jes.2018.03.030. Epub 2018 Apr 4.
7
Global estimates of mortality associated with long-term exposure to outdoor fine particulate matter.全球因长期暴露于室外细颗粒物而导致的死亡率估计。
Proc Natl Acad Sci U S A. 2018 Sep 18;115(38):9592-9597. doi: 10.1073/pnas.1803222115. Epub 2018 Sep 4.
8
Estimation of the contributions of the sources driving PM levels in a Central Mediterranean coastal town.估算导致中地中海沿海城镇 PM 水平的污染源的贡献。
Chemosphere. 2018 Nov;211:465-481. doi: 10.1016/j.chemosphere.2018.07.104. Epub 2018 Jul 24.
9
Spatial PM, NO, O and BC models for Western Europe - Evaluation of spatiotemporal stability.西欧的空间 PM、NO、O 和 BC 模型——时空稳定性评估。
Environ Int. 2018 Nov;120:81-92. doi: 10.1016/j.envint.2018.07.036. Epub 2018 Jul 31.
10
How important are maritime emissions for the air quality: At European and national scale.海上排放物对空气质量的重要性如何:在欧洲和国家层面上。
Environ Pollut. 2018 Nov;242(Pt A):565-575. doi: 10.1016/j.envpol.2018.07.011. Epub 2018 Jul 6.