Fakultät für Chemie und Mineralogie Institut für Anorganische Chemie Johannisallee 29 04103 Leipzig Germany.
School of Science and Technology Nottingham Trent University Clifton Lane Nottingham NG11 8NS UK.
ChemistryOpen. 2020 Apr 1;9(4):405-408. doi: 10.1002/open.202000036. eCollection 2020 Apr.
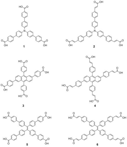
Conjugated materials can, in many cases, absorb visible light because of their delocalized π electron system. Such materials have been widely used as a photoactive layers in organic photovoltaic devices and as photosensitizers in dye-sensitized solar cells. Additionally, these materials have been reported for applications in solar fuel production, working as photocatalysts for the hydrogen evolution reaction (HER). The synthesis of three flexible vinyl groups-containing chromophores is reported. The catalytic activity towards hydrogen evolution of these chromophores has been investigated and compared to their non-vinyl-containing analogues. The catalytic effect was confirmed using two different approaches: electrochemical, using the chromophores to modify a working electrode, and photocatalytic, using the chromophores combined with platinum nanoparticles. A relationship between the degree of conjugation and the catalytic activity of the chromophores has been observed with the electrochemical method, while a relationship between the UV absorption in the solid state and the photocatalytic effect with platinum nanoparticles was observed.
共轭材料由于其离域的π电子体系,在许多情况下可以吸收可见光。这些材料已被广泛用作有机光伏器件中的光活性层,并作为染料敏化太阳能电池中的光敏剂。此外,这些材料还被报道用于太阳能燃料生产,作为光解水制氢反应(HER)的光催化剂。本文报道了三种含有柔性乙烯基基团的生色团的合成。研究了这些生色团对氢气产生的催化活性,并与不含乙烯基的类似物进行了比较。通过两种不同的方法证实了催化效果:电化学方法,使用生色团修饰工作电极;和光催化方法,使用生色团与铂纳米粒子结合。电化学方法观察到共轭程度与生色团催化活性之间存在关系,而在与铂纳米粒子的光催化效应中观察到固态下的紫外吸收与光催化效应之间存在关系。