Suppr超能文献

肾移植受者从钙调神经磷酸酶抑制剂转换为mTOR抑制剂后外周血淋巴细胞亚群的长期重新分布

Long-Term Redistribution of Peripheral Lymphocyte Subpopulations after Switching from Calcineurin to mTOR Inhibitors in Kidney Transplant Recipients.

作者信息

Llinàs-Mallol Laura, Redondo-Pachón Dolores, Raïch-Regué Dàlia, Pérez-Sáez María José, Yélamos José, Duran Xavier, Faura Anna, López-Botet Miguel, Pascual Julio, Crespo Marta

机构信息

Department of Nephrology; Hospital del Mar, 08003 Barcelona, Spain.

Nephropathies Research Group, Hospital del Mar Medical Research Institute (IMIM), 08003 Barcelona, Spain.

出版信息

J Clin Med. 2020 Apr 11;9(4):1088. doi: 10.3390/jcm9041088.

Abstract

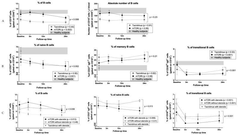
Classical immunosuppression based on steroids, calcineurin inhibitors, and mycophenolate results in several unwanted effects and unsatisfactory long-term outcomes in kidney transplantation (KT). New immunosuppressors search for fewer adverse events and increased graft survival but may have a distinct impact on graft function and immunological biomarkers according to their mechanism of action. This prospective study evaluates the immunological effect of tacrolimus to serine/threonine protein kinase mechanistic target of rapamycin inhibitors (mTORi) conversion in 29 KT recipients compared with 16 controls maintained on tacrolimus. We evaluated renal function, human leukocyte antigen (HLA) antibodies and peripheral blood lymphocyte subsets at inclusion and at 3, 12, and 24 months later. Twenty immunophenotyped healthy subjects served as reference. Renal function remained stable in both groups with no significant change in proteinuria. Two patients in the mTORi group developed HLA donor-specific antibodies and none in the control group (7% vs. 0%, = 0.53). Both groups showed a progressive increase in regulatory T cells, more prominent in patients converted to mTORi within the first 18 months post-KT ( < 0.001). All patients showed a decrease in naïve B cells ( < 0.001), excepting those converted to mTORi without receiving steroids ( = 0.31). Transitional B cells significantly decreased in mTORi patients ( < 0.001), independently of concomitant steroid treatment. Finally, CD56 and CD94/NK group 2 member A receptor positive (NKG2A) Natural Killer (NK) cell subsets increased in mTORi- compared to tacrolimus-treated patients (both < 0.001). Patients switched to mTORi displayed a significant redistribution of peripheral blood lymphocyte subpopulations proposed to be associated with graft outcomes. The administration of steroids modified some of these changes.

摘要

基于类固醇、钙调神经磷酸酶抑制剂和霉酚酸酯的传统免疫抑制疗法在肾移植(KT)中会产生多种不良影响且长期效果不尽人意。新型免疫抑制剂致力于减少不良事件并提高移植物存活率,但根据其作用机制,可能对移植物功能和免疫生物标志物产生不同影响。本前瞻性研究评估了29例KT受者从他克莫司转换为丝氨酸/苏氨酸蛋白激酶雷帕霉素作用机制靶点抑制剂(mTORi)后的免疫效果,并与16例继续使用他克莫司的对照组进行比较。我们在入组时以及3个月、12个月和24个月后评估了肾功能、人类白细胞抗原(HLA)抗体和外周血淋巴细胞亚群。20名进行了免疫表型分析的健康受试者作为对照。两组的肾功能均保持稳定,蛋白尿无显著变化。mTORi组有2例患者产生了HLA供体特异性抗体,而对照组无一例发生(7%对0%,P = 0.53)。两组的调节性T细胞均呈逐渐增加趋势,在KT术后前18个月内转换为mTORi的患者中更为显著(P < 0.001)。所有患者的初始B细胞均减少(P < 0.001),但未接受类固醇治疗而转换为mTORi的患者除外(P = 0.31)。mTORi组患者的过渡性B细胞显著减少(P < 0.001),与是否同时接受类固醇治疗无关。最后,与接受他克莫司治疗的患者相比,转换为mTORi的患者中CD56和CD94/NK组2成员A受体阳性(NKG2A)的自然杀伤(NK)细胞亚群增加(均P < 0.001)。转换为mTORi的患者外周血淋巴细胞亚群出现了显著的重新分布,这可能与移植物预后相关。类固醇的使用改变了其中一些变化。

https://cdn.ncbi.nlm.nih.gov/pmc/blobs/3b07/7230655/4fb59f595b96/jcm-09-01088-g001.jpg

文献AI研究员

20分钟写一篇综述,助力文献阅读效率提升50倍。

立即体验

用中文搜PubMed

大模型驱动的PubMed中文搜索引擎

马上搜索

文档翻译

学术文献翻译模型,支持多种主流文档格式。

立即体验