Department of Life Sciences, School of Sciences, European University Cyprus, 1516 Nicosia, Cyprus.
First Department of Surgery, Tzaneio General Hospital, 18536 Piraeus, Greece.
Int J Oncol. 2020 Jul;57(1):237-248. doi: 10.3892/ijo.2020.5062. Epub 2020 May 8.
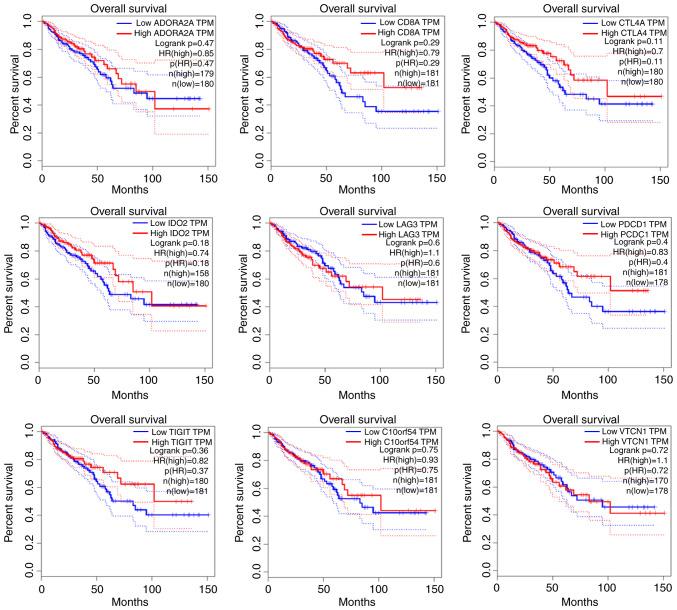
Adoptive cell therapy with the use of tumor-infiltrating lymphocytes (TILs) is a very promising immunotherapeutic approach for the treatment of patients with colorectal cancer (CRC). However, within the tumor microenvironment, co‑inhibitory immune checkpoints can inactivate TILs. The aim of the present study was to examine the association between the TIL load, the mutation rate and the clinical outcome in the immune landscape of patients with CRC. RNA‑seq and whole exome seq data of 453 colon adenocarcinomas (COAD) and rectal adenocarcinomas (READ), along with the TIL load and clinicopathological information of each patient, were extracted from the TCGA GDC Data Portal and analyzed computationally. The expression of immune checkpoint molecules was compared between colon cancer and normal tissue. A total of 9 immune‑related gene signatures were investigated in CRC. Spearman's correlation analysis was performed to examine the correlation between the TIL load with the expression of each immune checkpoint molecule. Indoleamine 2,3‑dioxygenase 1 (IDO1) was found to be significantly overexpressed in CRC, whereas V‑domain Ig suppressor of T cell activation (VISTA) and lymphocyte activating 3 (LAG3) were markedly downregulated. A high expression of cytotoxic T‑lymphocyte‑associated protein 4 (CTLA‑4), IDO1, programmed cell death 1 (PD‑1) and T‑cell immunoreceptor with Ig and ITIM domains (TIGIT), tended to be associated with a better overall survival of the patients. In COAD, the TIL load positively correlated with the expression of adenosine A2A receptor (ADORA2A), CTLA‑4, hepatitis A virus cellular receptor 2 (HAVCR2), lymphocyte activating 3 (LAG3), programmed death‑ligand PD‑L1, PD‑L2, TIGIT and VISTA, whereas in READ, such positive correlations were noted only between the TIL load and LAG3 or PD‑L2. The 'central memory T‑cell' and 'exhausted T‑cell' gene signatures were significantly lower among the READ tumors. The expression of PD‑1, PD‑L1, PD‑L2, CTLA‑4 and IDO1 was significantly higher among COAD patients with a high mutation rate (>34 mutations/Mb) compared to those with a lower rate. Somatic mutations in PD‑1, PD‑L1, CTLA‑4 and other checkpoint molecules did not seem to affect their expression levels. On the whole, the data of the present study highlight the association of immune checkpoint molecules with the TIL load, patient survival and a high mutation rate in CRC. The data corroborate that patients with colon cancer with higher PD1, PD‑L1/2, CTLA‑4 and IDO1 expression, and a high mutation rate, are the ones who will benefit more from the respective immune checkpoint inhibition therapies.
肿瘤浸润淋巴细胞(TILs)的过继细胞疗法是一种很有前途的免疫治疗方法,可用于治疗结直肠癌(CRC)患者。然而,在肿瘤微环境中,共抑制免疫检查点可使 TIL 失活。本研究旨在研究 CRC 免疫图谱中 TIL 负荷、突变率与临床结果之间的关系。从 TCGA GDC Data Portal 提取了 453 例结肠腺癌(COAD)和直肠腺癌(READ)的 RNA-seq 和全外显子测序数据,以及每位患者的 TIL 负荷和临床病理信息,并进行了计算分析。比较了结肠癌和正常组织中免疫检查点分子的表达。在 CRC 中研究了 9 种与免疫相关的基因特征。采用 Spearman 相关性分析检验 TIL 负荷与每种免疫检查点分子表达之间的相关性。发现吲哚胺 2,3-双加氧酶 1(IDO1)在 CRC 中过度表达,而 V 结构域免疫球蛋白抑制 T 细胞激活(VISTA)和淋巴细胞激活 3(LAG3)明显下调。细胞毒性 T 淋巴细胞相关蛋白 4(CTLA-4)、IDO1、程序性细胞死亡 1(PD-1)和 T 细胞免疫受体与 Ig 和 ITIM 结构域(TIGIT)的高表达往往与患者的总体生存率提高相关。在 COAD 中,TIL 负荷与腺苷 A2A 受体(ADORA2A)、CTLA-4、肝炎 A 病毒细胞受体 2(HAVCR2)、淋巴细胞激活 3(LAG3)、程序性死亡配体 PD-L1、PD-L2、TIGIT 和 VISTA 的表达呈正相关,而在 READ 中,TIL 负荷与 LAG3 或 PD-L2 之间仅存在正相关。“中央记忆 T 细胞”和“耗竭 T 细胞”基因特征在 READ 肿瘤中显著降低。与低突变率(<34 突变/Mb)患者相比,COAD 患者中 PD-1、PD-L1、PD-L2、CTLA-4 和 IDO1 的表达显著更高。PD-1、PD-L1、CTLA-4 和其他检查点分子的体细胞突变似乎并未影响其表达水平。总的来说,本研究的数据强调了免疫检查点分子与 TIL 负荷、患者生存和 CRC 中的高突变率之间的关系。数据表明,PD1、PD-L1/2、CTLA-4 和 IDO1 表达较高且突变率较高的结直肠癌患者将从各自的免疫检查点抑制治疗中获益更多。