Divakaran Nidhin, B Kale Manoj, Dhamodharan Duraisami, Mubarak Suhail, Wu Lixin, Wang Jianlei
CAS Key Laboratory of Design and Assembly of Functional Nanostructures, and Fujian Key Laboratory of Nanomaterials, Fujian Institute of Research on the Structure of Matter, Chinese Academy of Sciences, Fuzhou 350002, China.
University of Chinese Academy of Sciences, Beijing 100049, China.
Polymers (Basel). 2020 Sep 7;12(9):2031. doi: 10.3390/polym12092031.
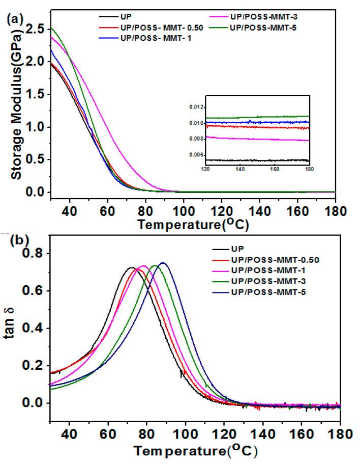
Montmorillonite (MMT) displays excellent cohesion with an unsaturated polyester (UP) matrix to generate a material which exhibits an extensive range of commercial applications. The organic modification of MMT using polyhedral oligomeric silsesquioxanes (POSS) and the effect of POSS-MMT on the thermal, mechanical, and electrical properties of UP are reported here. Transmission electron microscopy (TEM) images were used to characterize the modification of MMT using POSS. Modified MMT (POSS-MMT) was incorporated, at different wt.% (0.5, 1, 3, 5), into UP via in-situ polymerization. The presence of POSS-MMT enhanced the characteristic properties of UP as a consequence of good dispersion in the polymer matrix. Scanning electron microscopy (SEM) images support effective POSS-MMT dispersion leading to tensile strength enhancement of a UP/POSS-MMT nanocomposite (3 wt.% POSS-MMT) by 54.7% as compared to that for unmodified UP. TGA displays a 35 °C improvement of thermal stability (10% mass loss) at 5% POSS-MMT incorporation, while the electrical conductivity is improved by 10 S/m (3 wt.% POSS-MMT) in comparison to that for unmodified UP. The conventional obstacle of UP associated with shrinkage weight loss during curing seems to be moderated with POSS-MMT incorporation (3%) resulting in a 27.8% reduction in shrinkage weight loss. These fabricated nanocomposites expand the versatility of UP as a high-performance material owing to enhancements of properties.
蒙脱石(MMT)与不饱和聚酯(UP)基体具有优异的粘结性,可生成具有广泛商业应用的材料。本文报道了使用多面体低聚倍半硅氧烷(POSS)对MMT进行有机改性以及POSS-MMT对UP的热性能、机械性能和电性能的影响。透射电子显微镜(TEM)图像用于表征使用POSS对MMT的改性。通过原位聚合将改性MMT(POSS-MMT)以不同重量百分比(0.5%、1%、3%、5%)掺入UP中。由于在聚合物基体中分散良好,POSS-MMT的存在增强了UP的特性。扫描电子显微镜(SEM)图像支持POSS-MMT的有效分散,导致UP/POSS-MMT纳米复合材料(3%重量的POSS-MMT)的拉伸强度比未改性的UP提高了54.7%。热重分析(TGA)显示,在掺入5%的POSS-MMT时,热稳定性提高了35℃(质量损失10%),而与未改性的UP相比,电导率在掺入3%重量的POSS-MMT时提高了10 S/m。与固化过程中与收缩失重相关的传统UP障碍似乎通过掺入3%的POSS-MMT得到缓解,收缩失重降低了27.8%。由于性能的提高,这些制备的纳米复合材料扩展了UP作为高性能材料的多功能性。