Suppr超能文献

基于亚胺的邻苯二酚和苯醌:合成、结构及氧化还原行为特征

Imine-Based Catechols and -Benzoquinones: Synthesis, Structure, and Features of Redox Behavior.

作者信息

Astaf'eva Tatiana V, Arsenyev Maxim V, Rumyantcev Roman V, Fukin Georgy K, Cherkasov Vladimir K, Poddel'sky Andrey I

机构信息

G.A. Razuvaev Institute of Organometallic Chemistry, Russian Academy of Sciences, 49 Tropinina str., Nizhniy Novgorod 603137, Russian Federation.

Chemical Faculty, National Research Lobachevsky State University of Nizhny Novgorod, 23 Gagarina av., Nizhniy Novgorod 603950, Russian Federation.

出版信息

ACS Omega. 2020 Aug 21;5(35):22179-22191. doi: 10.1021/acsomega.0c02277. eCollection 2020 Sep 8.

Abstract

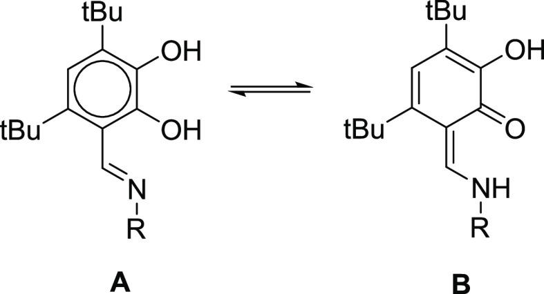
Novel sterically hindered catechols of the type 3-(RN=CH)-4,6-DBCatH with iminoalkyl or iminoaryl groups in the third position of the aromatic ring have been synthesized and characterized in detail. The -benzoquinones 3-(RN=CH)-4,6-DBBQ have been synthesized by the oxidation of the corresponding catechols. The oxidation of methylimino-substituted catechol with K[Fe(CN)] in alkaline medium leads to the formation of two products: -quinone and diene-dione, the product of the water addition to the corresponding -quinone. Some -benzoquinones react with water or methanol to yield products of water or methanol addition. A prototropic tautomerism is characteristic of catecholaldimines: a quinomethide form is observed in the case of aliphatic amine derivatives, while aryl-substituted catecholaldimines can exist both in the catechol and quinomethide forms in the crystalline state. The formation of dimeric structures motifs is observed in crystals. The electrochemical oxidation of imino-based catechols proceeds via two one-electron processes; the second wave is quasi-reversible, which is unusual for catechols.

摘要

已合成并详细表征了新型的空间位阻邻苯二酚,其在芳环的第三位带有亚氨基烷基或亚氨基芳基基团,即3-(RN=CH)-4,6-DBCatH型。相应的邻苯二酚经氧化合成了-苯醌3-(RN=CH)-4,6-DBBQ。在碱性介质中,用K[Fe(CN)]氧化甲基亚氨基取代的邻苯二酚会生成两种产物:-醌和二烯二酮,后者是水加成到相应-醌上的产物。一些-苯醌会与水或甲醇反应生成水或甲醇加成产物。邻苯二酚醛亚胺具有质子互变异构现象:脂肪族胺衍生物的情况下会观察到醌甲基化物形式,而芳基取代的邻苯二酚醛亚胺在晶体状态下可以以邻苯二酚和醌甲基化物两种形式存在。在晶体中观察到了二聚体结构基序的形成。基于亚氨基的邻苯二酚的电化学氧化通过两个单电子过程进行;第二个波是准可逆的,这对于邻苯二酚来说是不寻常的。

https://cdn.ncbi.nlm.nih.gov/pmc/blobs/8bd7/7482094/fe07307379ef/ao0c02277_0010.jpg

文献AI研究员

20分钟写一篇综述,助力文献阅读效率提升50倍。

立即体验

用中文搜PubMed

大模型驱动的PubMed中文搜索引擎

马上搜索

文档翻译

学术文献翻译模型,支持多种主流文档格式。

立即体验