Suppr超能文献

热带玉米种质对自发染色体加倍反应的双等位基因分析

Diallelic Analysis of Tropical Maize Germplasm Response to Spontaneous Chromosomal Doubling.

作者信息

Chaikam Vijay, Gowda Manje, Martinez Leocadio, Alvarado Beltrán Gregório, Zhang Xuecai, Prasanna Boddupalli M

机构信息

International Maize and Wheat Improvement Center (CIMMYT), ICRAF Campus, UN Avenue, Gigiri, P.O. Box 1041-00621, Nairobi, Kenya.

International Maize and Wheat Improvement Center (CIMMYT), Apdo, Postal 6-641, Mexico 06600, Mexico.

出版信息

Plants (Basel). 2020 Sep 17;9(9):1224. doi: 10.3390/plants9091224.

Abstract

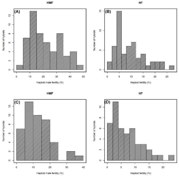
Chromosome doubling is an important step in the production of maize doubled haploid (DH) lines to induce fertility in the male and female reproductive organs of haploid plants. Chromosomal doubling is routinely accomplished by treating haploid seedlings with mitosis-inhibiting chemicals. However, chromosomal doubling involves several labor-intensive steps and toxic chemicals. Spontaneous chromosomal doubling without any chemical treatments occurs at high frequency in haploids from a few maize genotypes. This study focused on elucidating the genetic components of two traits important for using spontaneous doubling in maize-breeding programs, namely, haploid male fertility (HMF) and haploid fertility (HF). In two different sets of diallel crosses, haploids were derived and assessed for HMF and HF in two environments in replicated trials. The results revealed significant genotypic variations for both traits. The general combining ability (GCA) and specific combining (SCA) were significant for both traits. Significant and positive GCA effects of up to 14% and 9% were found for HMF and HF, respectively. No significant reciprocal effects and genotype-by-environment (G×E) interactions were found for HF in both experiments, but HMF showed significant effects for both in one of the experiments. The GCA effects were more important than the SCA effects for HMF and HF across environments, implying that selection could facilitate their improvement. The high correlations between F1-hybrid performance and mid-parent values, as well as that between F1-hybrid performance and GCA effects, also supports the assumption that these traits are controlled by a few genes. SCA effects also played a role, especially when lines with low spontaneous doubling were used as parents. Overall, spontaneous doubling can be introgressed and improved in elite germplasm with selection, and it has the potential to be employed in DH pipelines.

摘要

染色体加倍是玉米双单倍体(DH)系生产中的重要步骤,用于诱导单倍体植株雌雄生殖器官的育性。染色体加倍通常通过用抑制有丝分裂的化学物质处理单倍体幼苗来实现。然而,染色体加倍涉及几个劳动密集型步骤和有毒化学物质。在少数玉米基因型的单倍体中,无需任何化学处理的自发染色体加倍高频发生。本研究聚焦于阐明玉米育种计划中利用自发加倍的两个重要性状的遗传成分,即单倍体雄穗育性(HMF)和单倍体育性(HF)。在两组不同的双列杂交中,衍生出单倍体,并在两个环境的重复试验中对HMF和HF进行评估。结果显示这两个性状均存在显著的基因型变异。两个性状的一般配合力(GCA)和特殊配合力(SCA)均显著。HMF和HF分别发现高达14%和9%的显著正向GCA效应。在两个试验中,HF均未发现显著的正反交效应和基因型×环境(G×E)互作,但在其中一个试验中,HMF在两者上均表现出显著效应。跨环境下,HMF和HF的GCA效应比SCA效应更重要,这意味着选择有助于它们的改良。F1杂种表现与中亲值之间以及F1杂种表现与GCA效应之间的高相关性,也支持了这些性状由少数基因控制的假设。SCA效应也发挥了作用,尤其是当使用自发加倍率低的品系作为亲本时。总体而言,通过选择,自发加倍可在优良种质中导入和改良,并且有潜力应用于DH流程。

https://cdn.ncbi.nlm.nih.gov/pmc/blobs/9c4c/7570170/f46e6b561f84/plants-09-01224-g001.jpg

文献AI研究员

20分钟写一篇综述,助力文献阅读效率提升50倍。

立即体验

用中文搜PubMed

大模型驱动的PubMed中文搜索引擎

马上搜索

文档翻译

学术文献翻译模型,支持多种主流文档格式。

立即体验