Suppr超能文献

大疱性类天疱疮与银屑病之间的双向关联:一项基于人群的队列研究。

The Bidirectional Association Between Bullous Pemphigoid and Psoriasis: A Population-Based Cohort Study.

作者信息

Kridin Khalaf, Ludwig Ralf J, Schonmann Yochai, Damiani Giovanni, Cohen Arnon D

机构信息

Department of Experimental Dermatology, Lubeck Institute, University of Lübeck, Lübeck, Germany.

Department of Quality Measurements and Research, Clalit Health Services, Tel Aviv, Israel.

出版信息

Front Med (Lausanne). 2020 Aug 31;7:511. doi: 10.3389/fmed.2020.00511. eCollection 2020.

Abstract

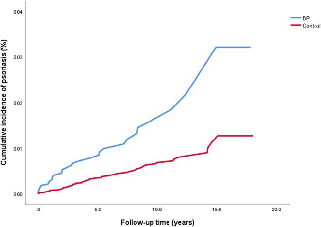
The risk of developing psoriasis during the course of bullous pemphigoid (BP) is yet to be investigated. We aimed to assess the risk of psoriasis among patients with BP and the risk of BP in individuals with a history of psoriasis. A population-based retrospective cohort study was conducted comparing BP patients ( = 3,924) with age-, sex-, and ethnicity-matched control subjects ( = 19,280) with regard to incident cases of psoriasis. A case-control design was additionally followed to estimate the risk of BP in those with a preceding diagnosis of psoriasis. Adjusted hazard ratios (HRs) and adjusted odds ratios (ORs) were estimated by Cox regression and logistic regression, respectively. The incidence of psoriasis was 1.78 (95% CI, 1.25-2.48) and 0.67 (95%CI, 0.53-0.83) per 1,000 person-years among patients with BP and controls, respectively. Patients with BP were 2.6-fold more likely to develop psoriasis (HR, 2.60; 95%CI, 1.59-4.27) compared to controls. Furthermore, the prevalence of preexisting psoriasis was higher in patients with BP than in control subjects (1.7 vs. 1.1%, respectively; < 0.001). A history of psoriasis was associated with a 50% increase in the risk of BP (OR, 1.53; 95%CI, 1.17-2.02). Patients with a dual diagnosis of BP and psoriasis were younger, had higher prevalence of smoking and hypertension, and were treated more frequently with prolonged systemic and topical corticosteroids when compared to the remaining patients with BP. To conclude, a bidirectional association exists between BP and psoriasis. Awareness of this association may be of great importance for physicians managing patients with BP and psoriasis.

摘要

大疱性类天疱疮(BP)病程中发生银屑病的风险尚待研究。我们旨在评估BP患者发生银屑病的风险以及有银屑病病史个体发生BP的风险。开展了一项基于人群的回顾性队列研究,比较了3924例BP患者与年龄、性别和种族匹配的19280例对照受试者的银屑病发病情况。另外采用病例对照设计来估计先前诊断为银屑病的个体发生BP的风险。分别通过Cox回归和逻辑回归估计调整后的风险比(HR)和调整后的优势比(OR)。BP患者和对照受试者中银屑病的发病率分别为每1000人年1.78(95%CI,1.25 - 2.48)和0.67(95%CI,0.53 - 0.83)。与对照相比,BP患者发生银屑病的可能性高2.6倍(HR,2.60;95%CI,1.59 - 4.27)。此外,BP患者中既往银屑病的患病率高于对照受试者(分别为1.7%和1.1%;P<0.001)。银屑病病史与BP风险增加50%相关(OR,1.53;95%CI,1.17 - 2.02)。与其余BP患者相比,同时诊断为BP和银屑病的患者更年轻,吸烟和高血压患病率更高,并且更频繁地接受长期全身和局部皮质类固醇治疗。总之,BP和银屑病之间存在双向关联。认识到这种关联可能对管理BP和银屑病患者的医生非常重要。

https://cdn.ncbi.nlm.nih.gov/pmc/blobs/e883/7489270/bc488401c731/fmed-07-00511-g0001.jpg

文献AI研究员

20分钟写一篇综述,助力文献阅读效率提升50倍。

立即体验

用中文搜PubMed

大模型驱动的PubMed中文搜索引擎

马上搜索

文档翻译

学术文献翻译模型,支持多种主流文档格式。

立即体验