Suppr超能文献

发展性阅读障碍成人和儿童的时间预期:无效机制的证据。

Timing anticipation in adults and children with Developmental Dyslexia: evidence of an inefficient mechanism.

机构信息

DiSLL Dipartimento di Studi Linguistici e Letterari, Università degli Studi di Padova, Via E. Vendramini, 13, 35137, Padua, Italy.

Department of Psychology, Università degli Studi di Milano-Bicocca, Piazza dell'Ateneo Nuovo, 1, 20126, Milan, Italy.

出版信息

Sci Rep. 2020 Oct 15;10(1):17519. doi: 10.1038/s41598-020-73435-z.

Abstract

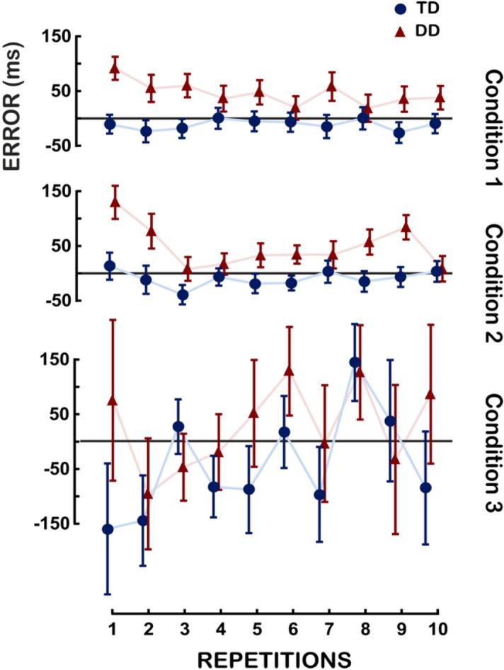
Developmental Dyslexia (DD) is a learning disorder characterized by specific difficulties in learning to read accurately and fluently, which has been generally explained in terms of phonological deficits. Recent research has shown that individuals with DD experience timing difficulties in the domains of language, music perception and motor control, probably due to impaired rhythmic perception, suggesting that timing deficit might be a key underlying factor to explain such a variety of difficulties. The present work presents two experiments aimed at assessing the anticipatory ability on a given rhythm of 9-year old Italian children and Italian adults with and without DD. Both adults and children with DD displayed a greater timing error and were more variable than controls in high predictable stimuli. No difference between participants with and without DD was found in the control condition, in which the uncertain timing of the beat did not permit the extraction of regularities. These results suggest that both children and adults with DD are unable to exploit temporal regularities to efficiently anticipate the next sensory event whereas control participants easily are. By showing that the anticipatory timing system of individuals with Developmental Dyslexia appears affected, this study adds another piece of evidence to the multifaceted reality of Developmental Dyslexia.

摘要

发展性阅读障碍(DD)是一种学习障碍,其特征是在准确和流畅地学习阅读方面存在特定困难,这通常可以用语音缺陷来解释。最近的研究表明,DD 患者在语言、音乐感知和运动控制领域存在时间处理困难,可能是由于节奏感知受损,这表明时间缺陷可能是解释这种多种困难的关键因素。本工作提出了两项实验,旨在评估 9 岁意大利儿童和有和无 DD 的意大利成年人对给定节奏的预期能力。在高可预测刺激中,DD 儿童和成人的时间误差都比对照组更大,而且更不稳定。在控制条件下,即节拍的不确定时间不允许提取规则的情况下,DD 患者和无 DD 患者之间没有差异。这些结果表明,DD 儿童和成人都无法利用时间规律来有效地预期下一个感觉事件,而对照组的参与者则很容易做到。通过表明患有发展性阅读障碍的个体的预期时间系统受到影响,本研究为发展性阅读障碍的多方面现实增加了另一个证据。

https://cdn.ncbi.nlm.nih.gov/pmc/blobs/c042/7562876/3f64c8a8b7f5/41598_2020_73435_Fig1_HTML.jpg

文献AI研究员

20分钟写一篇综述,助力文献阅读效率提升50倍。

立即体验

用中文搜PubMed

大模型驱动的PubMed中文搜索引擎

马上搜索

文档翻译

学术文献翻译模型,支持多种主流文档格式。

立即体验