Suppr超能文献

磷氮霉素 B 的全合成。

Total Synthesis of Phorbazole B.

机构信息

Department of Chemistry, UiT The Arctic University of Norway, Hansine Hansens veg 54, 9037 Tromsø, Norway.

Department of Chemistry and Centre for Pharmacy, University of Bergen, Allégaten 41, 5007 Bergen, Norway.

出版信息

Molecules. 2020 Oct 21;25(20):4848. doi: 10.3390/molecules25204848.

Abstract

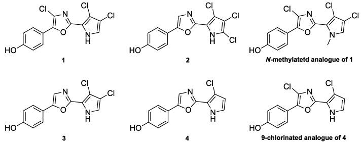
Phorbazoles are polychlorinated heterocyclic secondary metabolites isolated from a marine sponge and several of these natural products have shown inhibitory activity against cancer cells. In this work, a synthesis of the trichlorinated phorbazole B using late stage electrophilic chlorination was developed. The synthesis relied on the use of an oxazole precursor, which was protected with an iodine in the reactive 4-position, followed by complete chlorination of all pyrrole positions. Attempts to prepare phorbazole A and C, which contain a 3,4-dichlorinated pyrrole, were unsuccessful as the desired chlorination pattern on the pyrrole could not be obtained. The identities of the dichlorinated intermediates and products were determined using NMR techniques including NOESY/ROESY, 1,1-ADEQUATE and high-resolution CLIP-HSQMBC.

摘要

苯并唑类化合物是从海洋海绵中分离得到的多氯化杂环次生代谢产物,其中一些天然产物对癌细胞具有抑制活性。在这项工作中,使用后期亲电氯化法合成了三氯化苯并唑 B。该合成依赖于使用唑前体,其在反应性 4 位用碘保护,然后对所有吡咯位置进行完全氯化。尝试制备含有 3,4-二氯化吡咯的苯并唑 A 和 C 是不成功的,因为无法获得所需的吡咯氯化模式。使用 NMR 技术(包括 NOESY/ROESY、1,1-ADEQUATE 和高分辨率 CLIP-HSQMBC)确定了二氯化中间体和产物的身份。

https://cdn.ncbi.nlm.nih.gov/pmc/blobs/f62e/7588006/b5b03ddf16b1/molecules-25-04848-g001.jpg

文献AI研究员

20分钟写一篇综述,助力文献阅读效率提升50倍。

立即体验

用中文搜PubMed

大模型驱动的PubMed中文搜索引擎

马上搜索

文档翻译

学术文献翻译模型,支持多种主流文档格式。

立即体验