Suppr超能文献

上转换纳米晶体掺杂聚合物光纤温度计

Upconversion Nanocrystal Doped Polymer Fiber Thermometer.

作者信息

Thiem Jonas, Spelthann Simon, Neumann Laurie, Jakobs Florian, Johannes Hans-Hermann, Kowalsky Wolfgang, Kracht Dietmar, Neumann Joerg, Ruehl Axel, Ristau Detlev

机构信息

Institut of Quantum Optics, Leibniz University Hannover, Welfengarten 1, D-30167 Hannover, Germany.

Laser Zentrum Hannover e.V., Hollerithallee 8, D-30419 Hannover, Germany.

出版信息

Sensors (Basel). 2020 Oct 24;20(21):6048. doi: 10.3390/s20216048.

Abstract

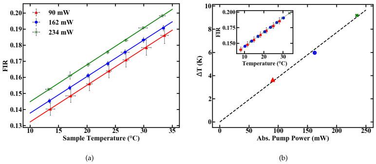
In recent years, lanthanide-doped nanothermometers have been mainly used in thin films or dispersed in organic solvents. However, both approaches have disadvantages such as the short interaction lengths of the active material with the pump beam or complicated handling, which can directly affect the achievable temperature resolution. We investigated the usability of a polymer fiber doped with upconversion nanocrystals as a thermometer. The fiber was excited with a wavelength stabilized diode laser at a wavelength of 976 nm. Emission spectra were recorded in a temperature range from 10 to 35 ∘C and the thermal emission changes were measured. Additionally, the pump power was varied to study the effect of self-induced heating on the thermometer specifications. Our fiber sensor shows a maximal thermal sensitivity of 1.45%/K and the minimal thermal resolution is below 20 mK. These results demonstrate that polymer fibers doped with nanocrystals constitute an attractive alternative to conventional fluorescence thermometers, as they add a long pump interaction length while also being insensitive to strong electrical fields or inert to bio-chemical environments.

摘要

近年来,镧系掺杂纳米温度计主要用于薄膜或分散在有机溶剂中。然而,这两种方法都有缺点,例如活性材料与泵浦光束的相互作用长度较短或操作复杂,这会直接影响可实现的温度分辨率。我们研究了掺杂上转换纳米晶体的聚合物光纤作为温度计的适用性。该光纤由波长稳定的二极管激光器在976 nm波长下激发。在10至35 ∘C的温度范围内记录发射光谱,并测量热发射变化。此外,改变泵浦功率以研究自热对温度计规格的影响。我们的光纤传感器显示出最大热灵敏度为1.45%/K,最小热分辨率低于20 mK。这些结果表明,掺杂纳米晶体的聚合物光纤是传统荧光温度计的有吸引力的替代品,因为它们增加了长的泵浦相互作用长度,同时对强电场不敏感或对生化环境惰性。

https://cdn.ncbi.nlm.nih.gov/pmc/blobs/d438/7660634/19bad1060aa3/sensors-20-06048-g001.jpg

文献AI研究员

20分钟写一篇综述,助力文献阅读效率提升50倍。

立即体验

用中文搜PubMed

大模型驱动的PubMed中文搜索引擎

马上搜索

文档翻译

学术文献翻译模型,支持多种主流文档格式。

立即体验