Suppr超能文献

RESILIA™ 组织生物瓣置换术后 5 年的最终结果。

Final 5-year outcomes following aortic valve replacement with a RESILIA™ tissue bioprosthesis.

机构信息

John Paul II Hospital, Krakow, Poland.

Department of Cardiovascular Surgery and Transplantology, Jagiellonian University Medical College, Krakow, Poland.

出版信息

Eur J Cardiothorac Surg. 2021 Jan 29;59(2):434-441. doi: 10.1093/ejcts/ezaa311.

Abstract

OBJECTIVES

Long-term durability of bioprosthetic valves is predominantly limited by structural valve deterioration. RESILIA™ tissue has exhibited reduced calcification in pre-clinical and early clinical studies. This study evaluated the 5-year clinical and haemodynamic outcomes of an aortic valve with this tissue.

METHODS

This was a prospective, non-randomized, single-arm study of 133 patients implanted with a RESILIA aortic bioprosthesis between July 2011 and February 2013 at 2 sites in Poland. Clinical outcomes and haemodynamic performance were assessed annually for 5 years post-implant. Safety events were adjudicated by a Clinical Events Committee and echocardiographic data were assessed by an independent core laboratory.

RESULTS

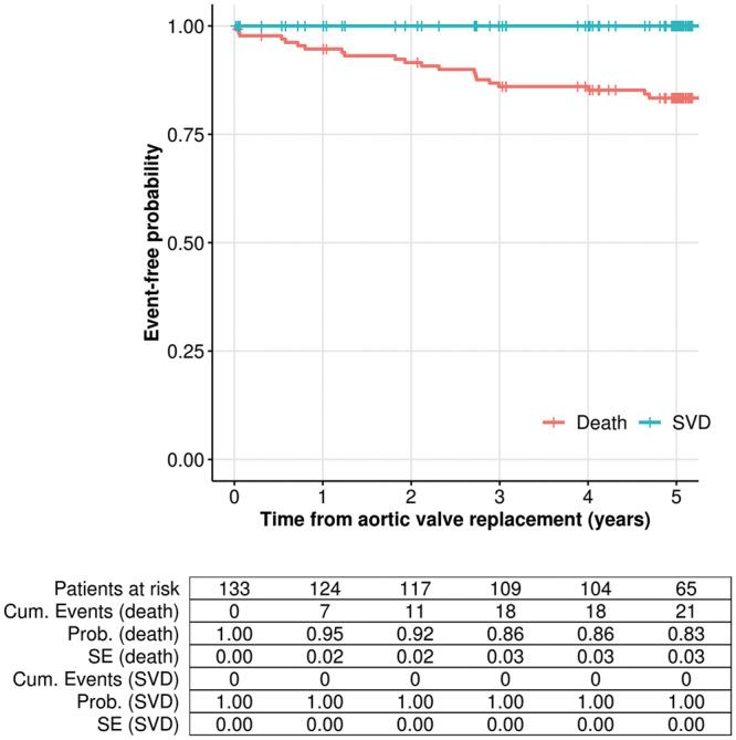
Mean patient age was 65.3 ± 13.5 years, with 34 patients (25.6%) ≤60. The mean follow-up was 4.2 ± 1.5 years. Early (≤30 days) and late (>30 days) all-cause mortality were 2.3% (N = 3) and 3.2%/late patients-years (N = 18) respectively. Early events included thromboembolism in 3 patients (2.3%). Late valve-related events included endocarditis in 1 patient, which led to explant, and valve thrombosis in another patient. There were no events of structural valve deterioration throughout the study. At 5 years, mean gradient was 14.8 ± 7.6 mmHg and effective orifice area was 1.4 ± 0.5 cm2, a marked improvement over baseline values. All New York Heart Association class III patients and most class II patients at baseline had improved classifications at 5 years.

CONCLUSIONS

The bioprosthesis with RESILIA tissue demonstrated a good safety profile with excellent haemodynamic performance over 5 years of follow-up. These encouraging outcomes warrant additional investigation of this novel tissue.

CLINICAL TRIAL REGISTRATION NUMBER

NCT01651052.

摘要

目的

生物瓣的长期耐久性主要受结构性瓣膜退化的限制。RESILIA 组织在临床前和早期临床研究中表现出减少的钙化。本研究评估了这种组织的主动脉瓣的 5 年临床和血液动力学结果。

方法

这是一项前瞻性、非随机、单臂研究,共纳入 2011 年 7 月至 2013 年 2 月在波兰的 2 个地点植入 RESILIA 主动脉生物瓣的 133 例患者。植入后 5 年内每年评估临床结局和血液动力学表现。安全性事件由临床事件委员会裁决,超声心动图数据由独立核心实验室评估。

结果

患者平均年龄为 65.3±13.5 岁,其中 34 例(25.6%)患者年龄≤60 岁。平均随访时间为 4.2±1.5 年。早期(≤30 天)和晚期(>30 天)全因死亡率分别为 2.3%(N=3)和晚期患者年 3.2%(N=18)。早期事件包括 3 例患者(2.3%)发生血栓栓塞。晚期瓣膜相关事件包括 1 例患者发生心内膜炎,导致瓣膜置换,另 1 例患者发生瓣膜血栓形成。整个研究过程中均未发生结构性瓣膜退化事件。5 年时,平均梯度为 14.8±7.6mmHg,有效瓣口面积为 1.4±0.5cm2,与基线值相比有显著改善。所有纽约心脏协会(NYHA)心功能 III 级患者和大多数基线时 NYHA 心功能 II 级患者在 5 年时心功能分级均得到改善。

结论

RESILIA 组织的生物瓣在 5 年的随访中表现出良好的安全性和出色的血液动力学性能。这些令人鼓舞的结果表明需要对这种新型组织进行进一步研究。

临床试验注册号

NCT01651052。

https://cdn.ncbi.nlm.nih.gov/pmc/blobs/fb44/7850021/368d157ef890/ezaa311f6.jpg

文献AI研究员

20分钟写一篇综述,助力文献阅读效率提升50倍。

立即体验

用中文搜PubMed

大模型驱动的PubMed中文搜索引擎

马上搜索

文档翻译

学术文献翻译模型,支持多种主流文档格式。

立即体验