Genitsaris Savvas, Stefanidou Natassa, Leontidou Kleopatra, Matsi Theodora, Karamanoli Katerina, Mellidou Ifigeneia
Department of Ecology, School of Biology, Aristotle University of Thessaloniki, 54 124 Thessaloniki, Greece.
Department of Botany, School of Biology, Aristotle University of Thessaloniki, 54 124 Thessaloniki, Greece.
Microorganisms. 2020 Oct 31;8(11):1708. doi: 10.3390/microorganisms8111708.
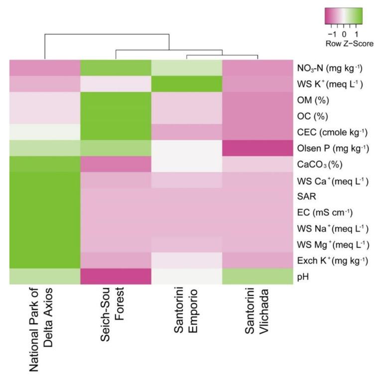
The aim of the study was to investigate the bacterial community diversity and structure by means of 16S rRNA gene high-throughput amplicon sequencing, in the rhizosphere and phyllosphere of halophytes and drought-tolerant plants in Mediterranean ecosystems with different soil properties. The locations of the sampled plants included alkaline, saline-sodic soils, acidic soils, and the volcanic soils of Santorini Island, differing in soil fertility. Our results showed high bacterial richness overall with Proteobacteria and Actinobacteria dominating in terms of OTUs number and indicated that variable bacterial communities differed depending on the plant's compartment (rhizosphere and phyllosphere), the soil properties and location of sampling. Furthermore, a shared pool of generalist bacterial taxa was detected independently of sampling location, plant species, or plant compartment. We conclude that the rhizosphere and phyllosphere of native plants in stressed Mediterranean ecosystems consist of common bacterial assemblages contributing to the survival of the plant, while at the same time the discrete soil properties and environmental pressures of each habitat drive the development of a complementary bacterial community with a distinct structure for each plant and location. We suggest that this trade-off between generalist and specialist bacterial community is tailored to benefit the symbiosis with the plant.
本研究的目的是通过16S rRNA基因高通量扩增子测序,调查地中海生态系统中具有不同土壤性质的盐生植物和耐旱植物根际和叶际的细菌群落多样性和结构。采样植物的地点包括碱性、盐碱土、酸性土壤以及圣托里尼岛土壤肥力不同的火山土壤。我们的结果显示,总体细菌丰富度较高,变形菌门和放线菌门在OTU数量方面占主导地位,并表明不同的细菌群落因植物区室(根际和叶际)、土壤性质和采样地点而异。此外,检测到一个独立于采样地点、植物种类或植物区室的通用细菌类群共享库。我们得出结论,在地中海受胁迫生态系统中,本地植物的根际和叶际由有助于植物生存的常见细菌组合组成,同时每个栖息地离散的土壤性质和环境压力推动了具有独特结构的互补细菌群落的发展,该群落因植物和地点而异。我们认为,这种通用细菌群落和特定细菌群落之间的权衡是为了有利于与植物的共生而量身定制的。