Suppr超能文献

脱氧雪腐镰刀菌烯醇挑战下霉菌毒素解毒添加剂对新断奶仔猪健康和生长功效的研究

Investigation of the efficacy of mycotoxin-detoxifying additive on health and growth of newly-weaned pigs under deoxynivalenol challenges.

作者信息

Holanda Debora Muratori, Kim Sung Woo

机构信息

Department of Animal Science, North Carolina State University, Raleigh NC 27695, USA.

出版信息

Anim Biosci. 2021 Mar;34(3):405-416. doi: 10.5713/ajas.20.0567. Epub 2020 Oct 20.

Abstract

OBJECTIVE

This study evaluated the effects of feeding diets naturally contaminated with deoxynivalenol (supplemental 2 mg/kg) on health, growth, and the effects of a mycotoxindetoxifying additive in newly-weaned pigs.

METHODS

Thirty-six pigs (27 day-old) were housed individually and assigned to 3 treatments for 5 weeks: CON (diet containing minimal deoxynivalenol), MT (diet with supplemental 1.9 mg/kg of deoxynivalenol), and MT+D (MT + mycotoxin-detoxifying additive, 0.2%, MegaFix, ICC, São Paulo, Brazil). The mycotoxin-detoxifying additive included bentonite, algae, enzymes, and yeast. Blood was taken at week 2 and 5. Jejunal tissue were taken at week 5. Data were analyzed using the MIXED procedure of SAS.

RESULTS

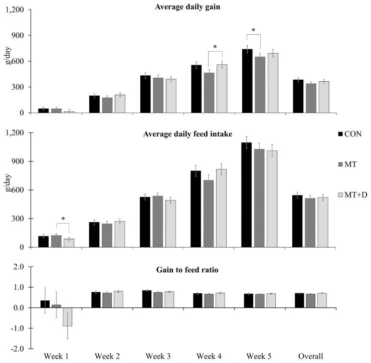
Pigs fed MT+D tended to have decreased (p = 0.056) averaged daily feed intake during week 1 than MT. At week 2, serum aspartate aminotransferase/alanine aminotransferase in MT tended to be lower (p = 0.059) than CON, whereas it was increased (p< 0.05) for MT+D than MT, indicating hepatic damages in MT and recovery in MT+D. Pigs fed MT had lower (p<0.05) blood urea nitrogen/creatinine than CON, supporting hepatic damage. At week 5, pigs fed MT tended to have reduced (p = 0.079) glucose than CON, whereas it was increased (p<0.05) for MT+D than MT, indicating impaired intestinal glucose absorption in MT, which was improved in MT+D. Pigs fed CON tended to have increased (p = 0.057) total glutathione in jejunum than MT, indicating oxidative stress in MT. Pigs fed MT+D had a reduced (p<0.05) proportion of Ki-67-positive cells in jejunum than MT, indicating lower enterocyte proliferation in MT+D.

CONCLUSION

Feeding supplemental 1.9 mg/kg of deoxynivalenol reduced growth and debilitated hepatic health of pigs, as seen in leakage of hepatic enzymes, impaired nitrogen metabolism, and increase in oxidative stress. The mycotoxin-detoxifying enhanced hepatic health and glucose levels, and attenuated gut damage in pigs fed deoxynivalenol contaminated diets.

摘要

目的

本研究评估了饲喂天然受脱氧雪腐镰刀菌烯醇污染的日粮(添加量为2毫克/千克)对新断奶仔猪健康、生长的影响,以及一种霉菌毒素解毒添加剂的作用。

方法

36头仔猪(27日龄)单独饲养,分为3组,进行为期5周的试验:对照组(日粮中脱氧雪腐镰刀菌烯醇含量最低)、MT组(日粮添加1.9毫克/千克脱氧雪腐镰刀菌烯醇)和MT+D组(MT组+霉菌毒素解毒添加剂,0.2%,MegaFix,ICC,巴西圣保罗)。霉菌毒素解毒添加剂包括膨润土、藻类、酶和酵母。在第2周和第5周采集血液。在第5周采集空肠组织。数据采用SAS的MIXED程序进行分析。

结果

在第1周,饲喂MT+D组的仔猪平均日采食量比MT组有降低趋势(p = 0.056)。在第2周,MT组血清天冬氨酸转氨酶/丙氨酸转氨酶比对照组有降低趋势(p = 0.059),而MT+D组比MT组升高(p<0.05),表明MT组有肝脏损伤,MT+D组肝脏损伤恢复。饲喂MT组的仔猪血尿素氮/肌酐比对照组低(p<0.05),支持肝脏损伤。在第5周,饲喂MT组的仔猪血糖比对照组有降低趋势(p = 0.079),而MT+D组比MT组升高(p<0.05),表明MT组肠道葡萄糖吸收受损,MT+D组有所改善。饲喂对照组的仔猪空肠中总谷胱甘肽比MT组有升高趋势(p = 0.057),表明MT组存在氧化应激。饲喂MT+D组的仔猪空肠中Ki-67阳性细胞比例比MT组降低(p<0.05),表明MT+D组肠上皮细胞增殖较低。

结论

饲喂1.9毫克/千克脱氧雪腐镰刀菌烯醇降低了仔猪的生长速度,损害了肝脏健康,表现为肝酶泄漏、氮代谢受损和氧化应激增加。霉菌毒素解毒添加剂改善了饲喂受脱氧雪腐镰刀菌烯醇污染日粮仔猪的肝脏健康和血糖水平,并减轻了肠道损伤。

https://cdn.ncbi.nlm.nih.gov/pmc/blobs/d1d4/7961193/41727b938b5f/ajas-20-0567f1.jpg

文献AI研究员

20分钟写一篇综述,助力文献阅读效率提升50倍。

立即体验

用中文搜PubMed

大模型驱动的PubMed中文搜索引擎

马上搜索

文档翻译

学术文献翻译模型,支持多种主流文档格式。

立即体验