Suppr超能文献

弥漫性大B细胞淋巴瘤和霍奇金淋巴瘤中竞争性内源性RNA网络的系统分析

Systematic Analysis of Competing Endogenous RNA Networks in Diffuse Large B-Cell Lymphoma and Hodgkin's Lymphoma.

作者信息

Kang Juanjuan, Yao Pengcheng, Tang Qiang, Wang Ying, Zhou Yuwei, Huang Jian

机构信息

Center for Informational Biology, University of Electronic Science and Technology of China, Chengdu, China.

Affiliated Foshan Maternity & Child Healthcare Hospital, Southern Medical University, Foshan, China.

出版信息

Front Genet. 2020 Sep 30;11:586688. doi: 10.3389/fgene.2020.586688. eCollection 2020.

Abstract

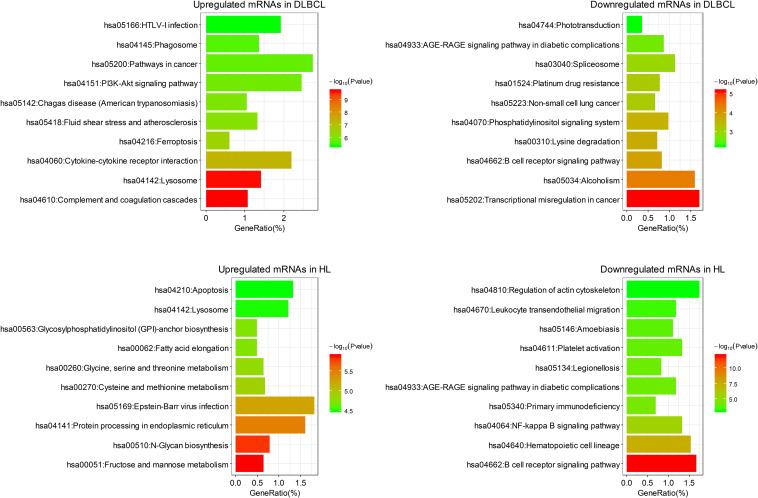
Lymphoma is a systemic malignancy, originating from the lymphatic system, which accounts for 3 to 4% of all tumors. There are two major subtypes of lymphoma, namely, diffuse large B-cell lymphoma (DLBCL) and Hodgkin's lymphoma (HL). Elucidation of the pathogenesis of these two lymphoma types is crucial for the identification of potential therapeutic targets. Compared with the corresponding knowledge of other diseases, the understanding of the regulatory networks involved in DLBCL and HL is relatively deficient. To address this, we comprehensively analyzed the mRNAs, lncRNAs, and miRNAs that were differentially expressed between normal and tumor samples of DLBCL and HL. In addition, functional enrichment analysis of the differentially expressed mRNAs was performed. We constructed two specific ceRNA networks of DLBCL and HL. The pathways enriched by dysregulated mRNAs in DLBCL and HL were mainly involved in immune responses, transcription process, and metabolism process. The ceRNA network analysis revealed that 45 ceRNAs were shared between the two ceRNA networks, including five pivotal lncRNAs (, , , , and ). In addition, we proposed a DLBCL survival risk model based on a DLBCL-specific network constructed by Lasso regression analysis. The model, which is based on eight mRNAs, exhibited excellent performance in regard to predicting outcomes in DLBCL patients, with a value of 0.0017 and AUC of 0.9783. In summary, although the molecular mechanisms underlying tumorigenesis in DLBCL and HL were quite different, the same pivotal lncRNAs acted as key regulators. Our findings identify novel potential prognostic and therapeutic targets for DLBCL and HL.

摘要

淋巴瘤是一种起源于淋巴系统的全身性恶性肿瘤,占所有肿瘤的3%至4%。淋巴瘤主要有两种亚型,即弥漫性大B细胞淋巴瘤(DLBCL)和霍奇金淋巴瘤(HL)。阐明这两种淋巴瘤类型的发病机制对于确定潜在的治疗靶点至关重要。与其他疾病的相应知识相比,对DLBCL和HL中涉及的调控网络的了解相对不足。为了解决这个问题,我们全面分析了DLBCL和HL的正常样本与肿瘤样本之间差异表达的mRNA、lncRNA和miRNA。此外,对差异表达的mRNA进行了功能富集分析。我们构建了DLBCL和HL的两个特定ceRNA网络。DLBCL和HL中失调mRNA富集的途径主要涉及免疫反应、转录过程和代谢过程。ceRNA网络分析显示,两个ceRNA网络之间共有45个ceRNA,包括五个关键lncRNA(、、、和)。此外,我们基于Lasso回归分析构建的DLBCL特异性网络提出了一个DLBCL生存风险模型。该模型基于八个mRNA,在预测DLBCL患者的预后方面表现出色,值为0.0017,AUC为0.9783。总之,尽管DLBCL和HL肿瘤发生的分子机制有很大不同,但相同的关键lncRNA起着关键调节作用。我们的研究结果为DLBCL和HL确定了新的潜在预后和治疗靶点。

https://cdn.ncbi.nlm.nih.gov/pmc/blobs/0798/7554339/3c779d2b70fa/fgene-11-586688-g001.jpg

文献AI研究员

20分钟写一篇综述,助力文献阅读效率提升50倍。

立即体验

用中文搜PubMed

大模型驱动的PubMed中文搜索引擎

马上搜索

文档翻译

学术文献翻译模型,支持多种主流文档格式。

立即体验