Sun Lejia, Jin Yukai, Hu Wenmo, Zhang Mengyuan, Jin Bao, Xu Haifeng, Du Shunda, Xu Yiyao, Zhao Haitao, Lu Xin, Sang Xinting, Zhong Shouxian, Yang Huayu, Mao Yilei
Department of Liver Surgery, Peking Union Medical College (PUMC) Hospital, PUMC & Chinese Academy of Medical Sciences, Beijing, China.
Peking Union Medical College (PUMC), PUMC & Chinese Academy of Medical Sciences, Beijing, China.
Front Oncol. 2020 Oct 23;10:554521. doi: 10.3389/fonc.2020.554521. eCollection 2020.
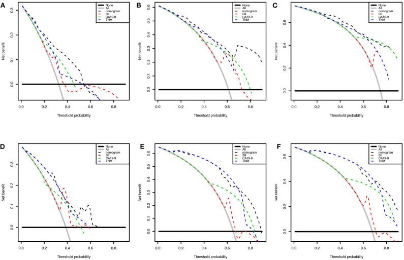
Systemic immune-inflammation index (SII) is considered to be a prognostic marker in several cancers. However, the prognostic value of baseline pre-operative SII in gallbladder carcinoma (GBC) has not been evaluated. This study aimed to determine the prognostic significance of SII and generate a predictive nomogram. We retrospectively studied 142 GBC patients who underwent surgical resection at the Peking Union Medical College Hospital between 2003 and 2017. SII, neutrophil-to-lymphocyte ratio (NLR), and lymphocyte-to-monocyte ratio (LMR) were evaluated for their prognostic values. A multivariate Cox proportional hazards model was used for the recognition of significant factors. Then, the cohort was randomly divided into the training and the validation set. A nomogram was constructed using SII and other selected indicators in the training set. C-index, calibration plots, and decision curve analysis were performed to assess the nomogram's clinical utility in both the training and the validation set. The predictive accuracy of SII (Harrell's concordance index [C-index]: 0.624), NLR (C-index: 0.626), and LMR (C-index: 0.622) was evaluated. The multivariate Cox model showed that SII was a superior independent predictor than NLR and LMR. SII level (≥600) (hazard ratio [HR]: 1.694, 95% confidence interval [CI]: 1.069-2.684, = 0.024), carbohydrate antigen (CA) 19-9 level (≥37 U/ml) (HR: 2.407, 95% CI: 1.472-3.933, < 0.001), and TNM stage ( = 0.026) were selected to construct a nomogram for predicting overall survival (OS). The predictive ability of this model was assessed by C-index (0.755 in the training set, 0.754 in the validation set). Good performance was demonstrated by the calibration plot. A high net benefit was proven by decision curve analysis (DCA). SII is an independent prognostic indicator in GBC patients after surgical resection, and the nomogram based on it is a useful tool for predicting OS.
全身免疫炎症指数(SII)被认为是多种癌症的预后标志物。然而,术前基线SII在胆囊癌(GBC)中的预后价值尚未得到评估。本研究旨在确定SII的预后意义并生成预测列线图。我们回顾性研究了2003年至2017年间在北京协和医院接受手术切除的142例GBC患者。评估了SII、中性粒细胞与淋巴细胞比值(NLR)和淋巴细胞与单核细胞比值(LMR)的预后价值。采用多变量Cox比例风险模型识别显著因素。然后,将队列随机分为训练集和验证集。在训练集中使用SII和其他选定指标构建列线图。进行C指数、校准图和决策曲线分析以评估列线图在训练集和验证集中的临床效用。评估了SII(Harrell一致性指数[C指数]:0.624)、NLR(C指数:0.626)和LMR(C指数:0.622)的预测准确性。多变量Cox模型显示,SII是比NLR和LMR更优的独立预测因子。SII水平(≥600)(风险比[HR]:1.694,95%置信区间[CI]:1.069 - 2.684, = 0.024)、糖类抗原(CA)19 - 9水平(≥37 U/ml)(HR:2.407,95% CI:1.472 - 3.933, < 0.001)和TNM分期( = 0.026)被选择用于构建预测总生存期(OS)的列线图。通过C指数(训练集中为0.755,验证集中为0.754)评估该模型的预测能力。校准图显示出良好的性能。决策曲线分析(DCA)证明了较高的净效益。SII是手术切除后GBC患者的独立预后指标,基于它的列线图是预测OS的有用工具。