Liu Wenting, Zhang Mengyuan, Wu Jun, Tang Ran, Hu Liqun
Geriatric Department, The First Affiliated Hospital of USTC, Division of Life Sciences and Medicine, University of Science and Technology of China (USTC), Hefei, China.
Department of Pediatric Surgery, Anhui Provincial Children's Hospital, Hefei, China.
Front Med (Lausanne). 2020 Oct 23;7:525421. doi: 10.3389/fmed.2020.525421. eCollection 2020.
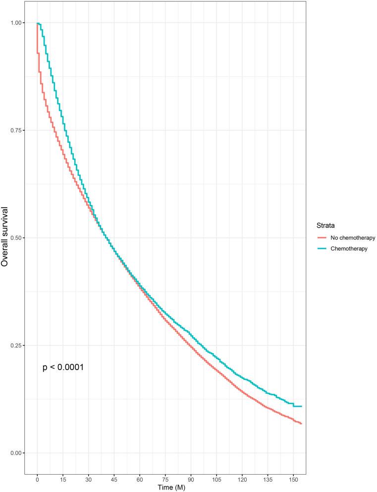
The present study aimed to evaluate the oncologic outcomes of patients 80 years or older compared with younger patients, and we then further investigated the efficacy of chemotherapy in individuals 80 years or older. A retrospective analysis was conducted using the Surveillance, Epidemiology and End Results database. The χ test was used to analyze the different clinicopathologic and demographic variables between 65- and 79-year and ≥80-year groups. Kaplan-Meier analysis and log-rank testing were used to compare colorectal cancer (CRC)-specific survival (CCSS) curves between different groups. Multivariate and univariate Cox proportional hazards models with hazard ratios (HRs) and 95% confidence intervals (CIs) were also used to assess CCSS and OS. A total of 189,926 patients were included in our study. Compared with 65- to 79-year-old patients, age 80 years or older was associated with 48.4% increased CRC-specific mortality (HR = 1.484, 95% CI = 1.453-1.516, < 0.0001; using 65-79 years old as the reference). Moreover, not receiving chemotherapy was significantly associated with an increased risk of CRC-related death, independent of other prognostic factors (HR = 0.615, 95% CI = 0.589-0.643, < 0.0001) in individuals 80 years or older. This large population-based study showed that older age was associated with worse oncologic outcomes compared to younger age. Chemotherapy could offer survival benefit for very old patients diagnosed with CRC, and we strongly believed that very old patients were undertreated in the present medical practices.
本研究旨在评估80岁及以上患者与年轻患者相比的肿瘤学结局,随后我们进一步调查了80岁及以上个体化疗的疗效。使用监测、流行病学和最终结果数据库进行回顾性分析。采用χ检验分析65至79岁组和≥80岁组之间不同的临床病理和人口统计学变量。采用Kaplan-Meier分析和对数秩检验比较不同组之间的结直肠癌(CRC)特异性生存(CCSS)曲线。还使用多变量和单变量Cox比例风险模型以及风险比(HR)和95%置信区间(CI)来评估CCSS和总生存期(OS)。我们的研究共纳入了189,926例患者。与65至79岁的患者相比,80岁及以上患者的CRC特异性死亡率增加了48.4%(HR = 1.484,95% CI = 1.453 - 1.516,P < 0.0001;以65 - 79岁为参照)。此外,在80岁及以上的个体中,未接受化疗与CRC相关死亡风险增加显著相关,独立于其他预后因素(HR = 0.615,95% CI = 0.589 - 0.643,P < 0.0001)。这项基于大量人群的研究表明,与年轻患者相比,老年患者的肿瘤学结局更差。化疗可为诊断为CRC的高龄患者带来生存益处,并且我们坚信在目前的医疗实践中高龄患者未得到充分治疗。