Suppr超能文献

基于无人机摄影测量点云的建筑损伤识别:超体素分割和潜在狄利克雷分配模型的应用。

Identification of Building Damage from UAV-Based Photogrammetric Point Clouds Using Supervoxel Segmentation and Latent Dirichlet Allocation Model.

机构信息

State Key Laboratory of Information Engineering in Surveying, Mapping and Remote Sensing, Wuhan University, Wuhan 430079, China.

出版信息

Sensors (Basel). 2020 Nov 13;20(22):6499. doi: 10.3390/s20226499.

Abstract

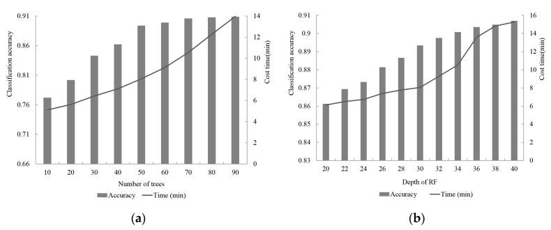
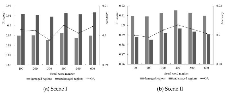
Accurate assessment of building damage is very important for disaster response and rescue. Traditional damage detection techniques using 2D features at a single observing angle cannot objectively and accurately reflect the structural damage conditions. With the development of unmanned aerial vehicle photogrammetric techniques and 3D point processing, automatic and accurate damage detection for building roof and facade has become a research hotspot in recent work. In this paper, we propose a building damage detection framework based on the boundary refined supervoxel segmentation and random forest-latent Dirichlet allocation classification. First, the traditional supervoxel segmentation method is improved to segment the point clouds into good boundary refined supervoxels. Then, non-building points such as ground and vegetation are removed from the generated supervoxels. Next, latent Dirichlet allocation (LDA) model is used to construct the high-level feature representation for each building supervoxel based on the selected 2D image and 3D point features. Finally, LDA model and random forest algorithm are employed to identify the damaged building regions. This method is applied to oblique photogrammetric point clouds collected from the Beichuan Country Earthquake Site. The research achieves the 3D damage assessment for building facade and roof. The result demonstrates that the proposed framework is capable of achieving around 94% accuracy for building point extraction and around 90% accuracy for damage identification. Moreover, both of the precision and recall for building damage detection reached around 89%. Concluded from comparison analysis, the proposed method improved the damage detection accuracy and the highest improvement ratio is over 8%.

摘要

准确评估建筑物的损坏情况对于灾害应对和救援至关重要。传统的使用二维特征在单一观测角度的损伤检测技术无法客观准确地反映结构的损伤情况。随着无人机摄影测量技术和三维点处理的发展,建筑物屋顶和外墙的自动、精确损伤检测已成为近期研究的热点。本文提出了一种基于边界细化超体素分割和随机森林-潜在狄利克雷分配分类的建筑物损伤检测框架。首先,改进传统的超体素分割方法,将点云分割成具有良好边界的细化超体素。然后,从生成的超体素中去除诸如地面和植被等非建筑物点。接下来,基于选择的二维图像和三维点特征,使用潜在狄利克雷分配(LDA)模型为每个建筑物超体素构建高级特征表示。最后,使用 LDA 模型和随机森林算法识别受损建筑物区域。该方法应用于北川地震遗址的倾斜摄影测量点云,实现了建筑物外墙和屋顶的三维损伤评估。研究结果表明,该框架能够实现约 94%的建筑物点提取精度和约 90%的损伤识别精度。此外,建筑物损伤检测的准确率和召回率均达到约 89%。通过对比分析得出,所提出的方法提高了损伤检测的准确性,最高改进率超过 8%。

https://cdn.ncbi.nlm.nih.gov/pmc/blobs/6fa7/7698038/0349b923a2bb/sensors-20-06499-g001.jpg

文献AI研究员

20分钟写一篇综述,助力文献阅读效率提升50倍。

立即体验

用中文搜PubMed

大模型驱动的PubMed中文搜索引擎

马上搜索

文档翻译

学术文献翻译模型,支持多种主流文档格式。

立即体验