Suppr超能文献

cIA期肺腺癌气腔播散的影像学特征的预测价值

Predictive value of radiological features on spread through air space in stage cIA lung adenocarcinoma.

作者信息

Zhang Zhenrong, Liu Zhan, Feng Hongxiang, Xiao Fei, Shao Weipeng, Liang Chaoyang, Sun Hongliang, Gu Xinlei, Liu Deruo

机构信息

Department of General Thoracic Surgery, China-Japan Friendship Hospital, Beijing, China.

Department of General Thoracic Surgery, China-Japan Friendship Hospital, Peking University China-Japan Friendship School of Clinical Medicine, Beijing, China.

出版信息

J Thorac Dis. 2020 Nov;12(11):6494-6504. doi: 10.21037/jtd-20-1820.

Abstract

BACKGROUND

Spread through air space (STAS) is a risk factor for disease recurrence in patients with stage IA lung adenocarcinoma (LUAD) who undergo limited resection. Preoperative prediction of STAS could help intraoperative surgical decision-making in small LUAD patients. The aim of the study was to evaluate the predictive value of radiological features on STAS in stage cIA LUAD.

METHODS

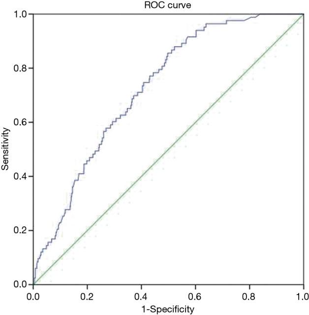
A case-control study was designed through retrospective analysis of the radiological features of patients who underwent curative surgery for LUAD with a clinical tumor size ≤3 cm. Univariable and multivariable analyses were used to identify the independent risk factors for STAS. The predicted probability of STAS was calculated by a specific formula. Receiver operating characteristic (ROC) curves were used to determine a cut-off value with appropriate specificity while maintaining high sensitivity for STAS positivity.

RESULTS

STAS was frequently observed in acinar predominant (P<0.001), micropapillary predominant (P<0.001) and solid predominant (P<0.001) tumors and was significantly associated with larger pT size (P<0.001), presence of micropapillary component (P<0.001), lymphovascular invasion (LVI) (P<0.001), visceral pleura invasion (VPI) (P<0.001), both N1 and N2 lymph node metastasis (P<0.001) and ALK rearrangement (P<0.001). STAS-positivity was significantly associated with the presence of cavitation (P=0.047), lobulation (P=0.009), air bronchogram (P<0.001), and vascular convergence (P=0.016) and was also associated with greater maximum tumor diameter (P<0.001), maximum solid component diameter (P<0.001), maximum tumor area (P<0.001), consolidation/tumor ratio (CTR) (P<0.001), tumor disappearance ratio (TDR) (P<0.001) and computed tomography (CT) value (P<0.001). Multivariable analysis showed that STAS was associated with air bronchogram (P=0.042), maximum tumor diameter (P=0.015), maximum solid component diameter (P=0.022) and CTR (P<0.001). The ROC curve showed that the area under the curve (AUC) was 0.726 in the model for predicting STAS, with a sensitivity and specificity of 95.2% and 36.8%, respectively.

CONCLUSIONS

STAS-positive LUAD was associated with air bronchogram, maximum tumor diameter, maximum solid component diameter and CTR. These radiological features could predict STAS with excellent sensitivity but inferior specificity.

摘要

背景

气腔播散(STAS)是接受有限切除的IA期肺腺癌(LUAD)患者疾病复发的危险因素。术前预测STAS有助于IA期小LUAD患者的术中手术决策。本研究的目的是评估cIA期LUAD患者影像学特征对STAS的预测价值。

方法

通过回顾性分析临床肿瘤大小≤3 cm的LUAD患者接受根治性手术的影像学特征,设计了一项病例对照研究。采用单因素和多因素分析确定STAS的独立危险因素。通过特定公式计算STAS的预测概率。采用受试者操作特征(ROC)曲线确定具有适当特异性的临界值,同时保持对STAS阳性的高敏感性。

结果

在腺泡为主型(P<0.001)、微乳头为主型(P<0.001)和实性为主型(P<0.001)肿瘤中经常观察到STAS,且与较大的pT大小(P<0.001)、微乳头成分的存在(P<0.001)、脉管侵犯(LVI)(P<0.001)、脏层胸膜侵犯(VPI)(P<0.001)、N1和N2淋巴结转移(P<0.001)以及ALK重排(P<0.001)显著相关。STAS阳性与空洞形成(P=0.047)、分叶(P=0.009)、空气支气管征(P<0.001)和血管集束征(P=0.016)的存在显著相关,也与更大的最大肿瘤直径(P<0.001)、最大实性成分直径(P<0.001)、最大肿瘤面积(P<0.001)、实变/肿瘤比值(CTR)(P<0.001)、肿瘤消失率(TDR)(P<0.001)和计算机断层扫描(CT)值(P<0.001)相关。多因素分析显示,STAS与空气支气管征(P=0.042)、最大肿瘤直径(P=0.015)、最大实性成分直径(P=0.022)和CTR(P<0.001)相关。ROC曲线显示,预测STAS的模型中曲线下面积(AUC)为0.726,敏感性和特异性分别为95.2%和36.8%。

结论

STAS阳性的LUAD与空气支气管征、最大肿瘤直径、最大实性成分直径和CTR相关。这些影像学特征可以以优异的敏感性但较差的特异性预测STAS。

https://cdn.ncbi.nlm.nih.gov/pmc/blobs/9624/7711360/ac7e98d557a9/jtd-12-11-6494-f1.jpg

文献AI研究员

20分钟写一篇综述,助力文献阅读效率提升50倍。

立即体验

用中文搜PubMed

大模型驱动的PubMed中文搜索引擎

马上搜索

文档翻译

学术文献翻译模型,支持多种主流文档格式。

立即体验