Suppr超能文献

手术修复对面神经损伤功能恢复的疗效。

Efficacy of surgical repair for the functional restoration of injured facial nerve.

机构信息

Department of Otology Surgery, Shandong Provincial ENT Hospital, Cheeloo College of Medicine, Shandong University, No. 4 Duanxing West Road, Huaiyin District, Jinan, 250021, People's Republic of China.

出版信息

BMC Surg. 2021 Jan 8;21(1):32. doi: 10.1186/s12893-021-01049-x.

Abstract

BACKGROUND

Early surgical repair to restore nerve integrity has become the most commonly practiced method for managing facial nerve injury. However, the evidence for the efficacy of surgical repair for restoring the function of facial nerves remains deficient. This study evaluated the outcomes of surgical repair for facial nerve lesions.

METHODS

This retrospective observational study recruited 28 patients with the diagnosis of facial nerve injury who consecutively underwent surgical repairs from September 2012 to May 2019. All related clinical data were retrospectively analyzed according to age, sex, location of the facial nerve lesion, size of the facial nerve defect, method of repair, facial electromyogram, and blink reflex. Facial function was then stratified with the House-Brackmann grading system pre-operation and 3, 9, 15, and 21 months after surgical repair.

RESULTS

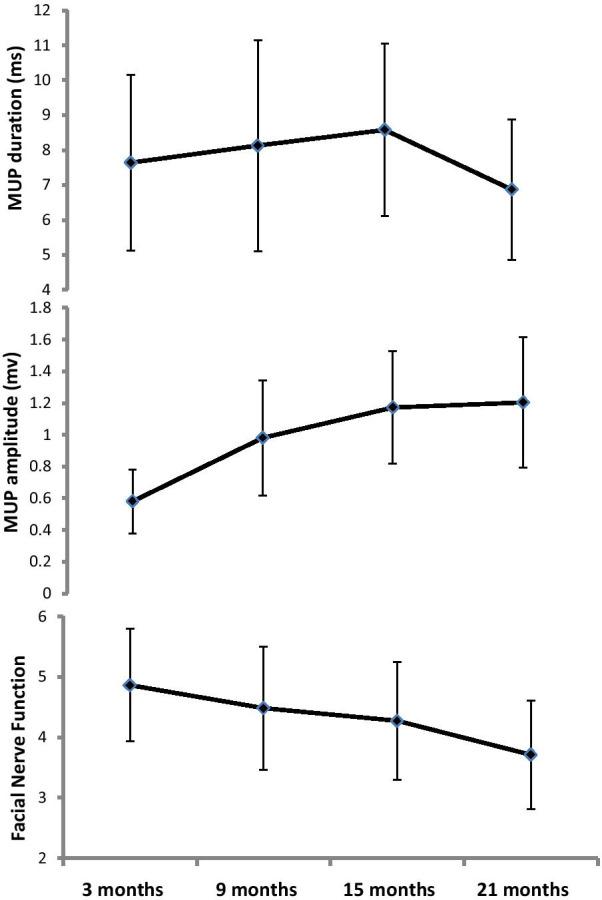
The 28 patients enrolled in this study included 17 male and 11 female patients with an average age of 34.3 ± 17.4 years. Three methods were applied for the repair of an injured facial nerve, including great auricular nerve transplantation in 15 patients, sural nerve grafting in 7 patients, and hypoglossal to facial nerve anastomosis in 6 patients. Facial nerve function was significantly improved at 21 months after surgery compared with pre-operative function (P = 0.008). Following surgical repair, a correlation was found between the amplitude of motor unit potential (MUP) and facial nerve function (r = -6.078, P = 0.02). Moreover, the extent of functional restoration of the facial nerve at 21 months after surgery depended on the location of the facial nerve lesion; lesions at either the horizontal or vertical segment showed significant improvement(P = 0.008 and 0.005), while no functional restoration was found for lesions at the labyrinthine segment (P = 0.26).

CONCLUSIONS

For surgical repair of facial nerve lesions, the sural nerve, great auricular nerve, and hypoglossal-facial nerve can be grafted effectively to store the function of a facial nerve, and MUP may provide an effective indicator for monitoring the recovery of the injured nerve.

摘要

背景

早期手术修复以恢复神经完整性已成为治疗面神经损伤最常用的方法。然而,手术修复对面神经功能恢复的疗效证据仍然不足。本研究评估了面神经损伤手术修复的结果。

方法

这是一项回顾性观察研究,纳入了 2012 年 9 月至 2019 年 5 月期间连续接受手术修复的 28 例面神经损伤患者。根据年龄、性别、面神经损伤部位、面神经缺损大小、修复方法、面肌电图和眨眼反射,对所有相关临床数据进行回顾性分析。然后根据术前和术后 3、9、15 和 21 个月的 House-Brackmann 分级系统对面部功能进行分层。

结果

本研究共纳入 28 例患者,其中男 17 例,女 11 例,平均年龄 34.3±17.4 岁。三种方法用于修复损伤的面神经,其中 15 例采用耳大神经移植,7 例采用腓肠神经移植,6 例采用舌下神经-面神经吻合术。术后 21 个月,面神经功能明显优于术前(P=0.008)。术后,运动单位电位(MUP)振幅与面神经功能之间存在相关性(r=-6.078,P=0.02)。此外,术后 21 个月面神经功能恢复程度取决于面神经损伤部位;水平段或垂直段损伤显著改善(P=0.008 和 0.005),而迷路段损伤无功能恢复(P=0.26)。

结论

对于面神经损伤的手术修复,腓肠神经、耳大神经和舌下神经-面神经可有效移植以储存面神经功能,MUP 可能为监测损伤神经的恢复提供有效指标。

https://cdn.ncbi.nlm.nih.gov/pmc/blobs/a073/7792309/44e7eafe0744/12893_2021_1049_Fig1_HTML.jpg

文献AI研究员

20分钟写一篇综述,助力文献阅读效率提升50倍。

立即体验

用中文搜PubMed

大模型驱动的PubMed中文搜索引擎

马上搜索

文档翻译

学术文献翻译模型,支持多种主流文档格式。

立即体验