Ghazali Siti Khairunisah, Adrus Nadia, Majid Rohah A, Ali Fathilah, Jamaluddin Jamarosliza
School of Chemical and Energy Engineering, Faculty of Engineering, Universiti Teknologi Malaysia, Johor, Skudai 81310, Malaysia.
Department of Biotechnology Engineering, Faculty of Engineering, International Islamic University Malaysia, Kuala Lumpur, Gombak 53100, Malaysia.
Polymers (Basel). 2021 Feb 4;13(4):487. doi: 10.3390/polym13040487.
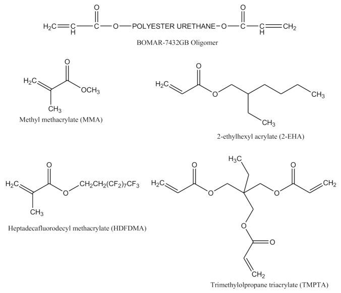
The elimination of mercury, low energy consumption, and low heat make the ultraviolet light-emitting diode (UV-LED) system emerge as a promising alternative to conventional UV-mercury radiation coating. Hence, a series of hydrophobic coatings based on urethane acrylate oligomer and fluorinated monomer via UV-LED photopolymerisation was designed in this paper. The presence of fluorine component at 1160 cm, 1235 cm, and 1296 cm was confirmed by Fourier Transform Infra-Red spectroscopy. A considerably high degree C=C conversion (96-98%) and gel fraction (95-93%) verified the application of UV-LED as a new technique in radiation coating. It is well-accepted that fluorinated monomer can change the surface wettability as the water contact angle of the coating evolved from 88.4° to 121.2°, which, in turn, reduced its surface free energy by 70.5%. Hence, the hydrophobicity of the coating was governed by the migration of the fluorine component to the coating surface as validated by scanning electron and atomic force microscopies. However, above 4 phr of fluorinated monomer, the transparency of the cured coating examined by UV-visible spectroscopy experienced approximately a 16% reduction. In summary, the utilisation of UV-LED was a great initiative to develop green aspect in photopolymerisation, particularly in coating technology.
汞的消除、低能耗和低热使紫外发光二极管(UV-LED)系统成为传统紫外汞辐射涂层的一种有前景的替代方案。因此,本文设计了一系列基于聚氨酯丙烯酸酯低聚物和含氟单体通过UV-LED光聚合的疏水涂层。通过傅里叶变换红外光谱证实了在1160 cm、1235 cm和1296 cm处存在氟成分。相当高的C=C转化率(96 - 98%)和凝胶分数(95 - 93%)验证了UV-LED作为辐射涂层新技术的应用。众所周知,含氟单体可以改变表面润湿性,因为涂层的水接触角从88.4°演变为121.2°,这反过来又使其表面自由能降低了70.5%。因此,如扫描电子显微镜和原子力显微镜所证实的,涂层的疏水性由氟成分向涂层表面的迁移所控制。然而,当含氟单体含量超过4 phr时,通过紫外可见光谱检测的固化涂层的透明度大约降低了16%。总之,UV-LED的应用是在光聚合中,特别是在涂层技术中发展绿色方面的一项重大举措。