Suppr超能文献

经颅磁刺激对多块肌肉的映射:绝对和相对的测试-重测信度。

Mapping of multiple muscles with transcranial magnetic stimulation: absolute and relative test-retest reliability.

机构信息

Center for Cognition and Decision Making, Institute for Cognitive Neuroscience, National Research University Higher School of Economics, Moscow, Russian Federation.

Federal State Budgetary Institution «Federal center of brain research and neurotechnologies» of the Federal Medical Biological Agency, Moscow, Russian Federation.

出版信息

Hum Brain Mapp. 2021 Jun 1;42(8):2508-2528. doi: 10.1002/hbm.25383. Epub 2021 Mar 8.

Abstract

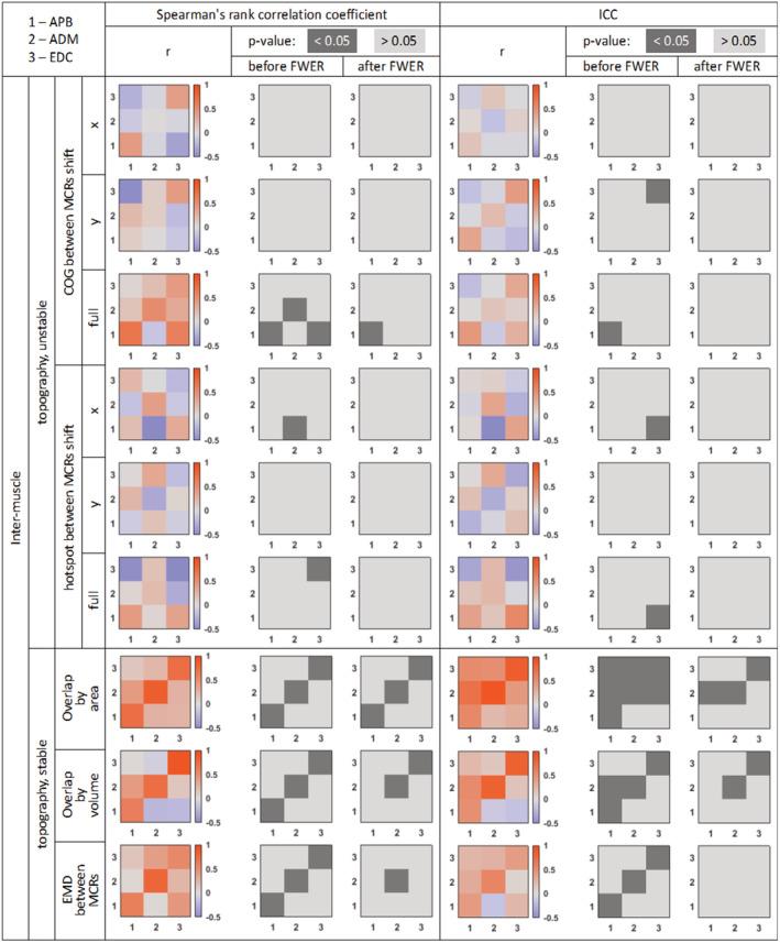
The spatial accuracy of transcranial magnetic stimulation (TMS) may be as small as a few millimeters. Despite such great potential, navigated TMS (nTMS) mapping is still underused for the assessment of motor plasticity, particularly in clinical settings. Here, we investigate the within-limb somatotopy gradient as well as absolute and relative reliability of three hand muscle cortical representations (MCRs) using a comprehensive grid-based sulcus-informed nTMS motor mapping. We enrolled 22 young healthy male volunteers. Two nTMS mapping sessions were separated by 5-10 days. Motor evoked potentials were obtained from abductor pollicis brevis (APB), abductor digiti minimi, and extensor digitorum communis. In addition to individual MRI-based analysis, we studied normalized MNI MCRs. For the reliability assessment, we calculated intraclass correlation and the smallest detectable change. Our results revealed a somatotopy gradient reflected by APB MCR having the most lateral location. Reliability analysis showed that the commonly used metrics of MCRs, such as areas, volumes, centers of gravity (COGs), and hotspots had a high relative and low absolute reliability for all three muscles. For within-limb TMS somatotopy, the most common metrics such as the shifts between MCR COGs and hotspots had poor relative reliability. However, overlaps between different muscle MCRs were highly reliable. We, thus, provide novel evidence that inter-muscle MCR interaction can be reliably traced using MCR overlaps while shifts between the COGs and hotspots of different MCRs are not suitable for this purpose. Our results have implications for the interpretation of nTMS motor mapping results in healthy subjects and patients with neurological conditions.

摘要

经颅磁刺激(TMS)的空间精度可能只有几毫米。尽管有如此巨大的潜力,但导航 TMS(nTMS)映射在运动可塑性评估中仍未得到充分利用,特别是在临床环境中。在这里,我们使用全面的基于沟回的 nTMS 运动映射来研究三个手部肌肉皮质代表区(MCR)的肢体内躯体同调性梯度以及绝对和相对可靠性。我们招募了 22 名年轻健康的男性志愿者。两次 nTMS 映射会话之间间隔 5-10 天。从拇短展肌(APB)、小指展肌和伸指总肌获得运动诱发电位。除了个体 MRI 分析外,我们还研究了归一化 MNI MCR。为了进行可靠性评估,我们计算了组内相关系数和最小可检测变化。我们的结果显示出由 APB MCR 反映的躯体同调性梯度,其位置最靠外侧。可靠性分析表明,MCR 的常用指标,如面积、体积、重心(COG)和热点,对于所有三个肌肉都具有高相对和低绝对可靠性。对于肢体内 TMS 躯体同调性,COG 和热点之间的 MCR 转移等常见指标的相对可靠性较差。然而,不同肌肉 MCR 之间的重叠具有高度可靠性。因此,我们提供了新的证据,即使用 MCR 重叠可以可靠地追踪肌肉间 MCR 相互作用,而不同 MCR 之间的 COG 和热点之间的转移不适合用于此目的。我们的结果对解释健康受试者和神经疾病患者的 nTMS 运动映射结果具有重要意义。

https://cdn.ncbi.nlm.nih.gov/pmc/blobs/19d3/8090785/23af8d82afc6/HBM-42-2508-g002.jpg

文献AI研究员

20分钟写一篇综述,助力文献阅读效率提升50倍。

立即体验

用中文搜PubMed

大模型驱动的PubMed中文搜索引擎

马上搜索

文档翻译

学术文献翻译模型,支持多种主流文档格式。

立即体验