Suppr超能文献

动物数量统计的可靠性及其对趋势解读的影响。

Reliability of animal counts and implications for the interpretation of trends.

作者信息

Vallecillo David, Gauthier-Clerc Michel, Guillemain Matthieu, Vittecoq Marion, Vandewalle Philippe, Roche Benjamin, Champagnon Jocelyn

机构信息

Tour du Valat Research institute for the conservation of Mediterranean wetlands Arles France.

OFB Unité Avifaune migratrice La Tour du Valat Arles France.

出版信息

Ecol Evol. 2021 Jan 27;11(5):2249-2260. doi: 10.1002/ece3.7191. eCollection 2021 Mar.

Abstract

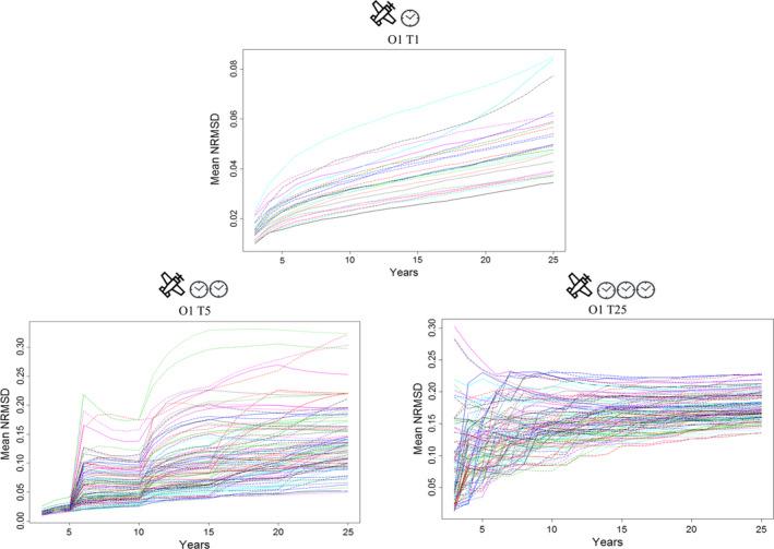
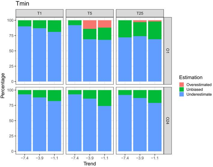
Population time series analysis is an integral part of conservation biology in the current context of global changes. To quantify changes in population size, wildlife counts only provide estimates because of various sources of error. When unaccounted for, such errors can obscure important ecological patterns and reduce confidence in the derived trend. In the case of highly gregarious species, which are common in the animal kingdom, the estimation of group size is an important potential bias, which is characterized by high variance among observers. In this context, it is crucial to quantify the impact of observer changes, inherent to population monitoring, on i) the minimum length of population time series required to detect significant trends and ii) the accuracy (bias and precision) of the trend estimate.We acquired group size estimation error data by an experimental protocol where 24 experienced observers conducted counting simulation tests on group sizes. We used this empirical data to simulate observations over 25 years of a declining population distributed over 100 sites. Five scenarios of changes in observer identity over time and sites were tested for each of three simulated trends (true population size evolving according to deterministic models parameterized with declines of 1.1%, 3.9% or 7.4% per year that justify respectively a "declining," "vulnerable" or "endangered" population under IUCN criteria).We found that under realistic field conditions observers detected the accurate value of the population trend in only 1.3% of the cases. Our results also show that trend estimates are similar if many observers are spatially distributed among the different sites, or if one single observer counts all sites. However, successive changes in observer identity over time lead to a clear decrease in the ability to reliably estimate a given population trend, and an increase in the number of years of monitoring required to adequately detect the trend.Minimizing temporal changes of observers improve the quality of count data and help taking appropriate management decisions and setting conservation priorities. The same occurs when increasing the number of observers spread over 100 sites. If the population surveyed is composed of few sites, then it is preferable to perform the survey by one observer. In this context, it is important to reconsider how we use estimated population trend values and potentially to scale our decisions according to the direction and duration of estimated trends, instead of setting too precise threshold values before action.

摘要

在当前全球变化的背景下,种群时间序列分析是保护生物学不可或缺的一部分。为了量化种群数量的变化,由于存在各种误差来源,野生动物数量统计仅能提供估计值。如果这些误差未得到考虑,那么它们可能会掩盖重要的生态模式,并降低对所推导趋势的信心。在动物界常见的高度群居物种的情况下,群体大小的估计是一个重要的潜在偏差来源,其特点是观察者之间的差异很大。在这种情况下,量化种群监测中固有的观察者变化对以下两方面的影响至关重要:一是检测显著趋势所需的种群时间序列的最短长度,二是趋势估计的准确性(偏差和精度)。我们通过一个实验方案获取了群体大小估计误差数据,在该方案中,24名经验丰富的观察者对群体大小进行了计数模拟测试。我们利用这些经验数据模拟了分布在100个地点的一个数量下降的种群在25年中的观测情况。针对三种模拟趋势(真实种群大小根据确定性模型演变,参数分别为每年下降1.1%、3.9%或7.4%,根据国际自然保护联盟标准,这分别代表“下降”“易危”或“濒危”种群)中的每一种,测试了观察者身份随时间和地点变化的五种情景。我们发现,在现实的野外条件下,观察者仅在1.3%的情况下检测到了种群趋势的准确值。我们的结果还表明,如果许多观察者在不同地点进行空间分布,或者如果一个观察者对所有地点进行计数,趋势估计是相似的。然而,观察者身份随时间的连续变化会导致可靠估计给定种群趋势的能力明显下降,以及充分检测该趋势所需的监测年数增加。尽量减少观察者的时间变化可以提高计数数据的质量,并有助于做出适当的管理决策和确定保护重点。当增加分布在100个地点的观察者数量时,情况也是如此。如果被调查的种群分布在很少的地点,那么最好由一个观察者进行调查。在这种情况下,重要的是重新考虑我们如何使用估计的种群趋势值,并可能根据估计趋势的方向和持续时间来调整我们的决策,而不是在采取行动之前设定过于精确的阈值。

https://cdn.ncbi.nlm.nih.gov/pmc/blobs/a27b/7920765/8adce36994de/ECE3-11-2249-g001.jpg

文献AI研究员

20分钟写一篇综述,助力文献阅读效率提升50倍。

立即体验

用中文搜PubMed

大模型驱动的PubMed中文搜索引擎

马上搜索

文档翻译

学术文献翻译模型,支持多种主流文档格式。

立即体验