Suppr超能文献

估测脂尾寒羊活重的心围模型的可行性。

Feasibility of heart girth models in estimating live weight of fat-long-tailed sheep.

机构信息

International Center for Agricultural Research in Dry Areas (ICARDA), Addis Ababa, Ethiopia.

School of Animal, Rural and Environmental Sciences, Nottingham Trent University, Nottingham, UK.

出版信息

Vet Med Sci. 2021 Jul;7(4):1287-1296. doi: 10.1002/vms3.476. Epub 2021 Mar 22.

Abstract

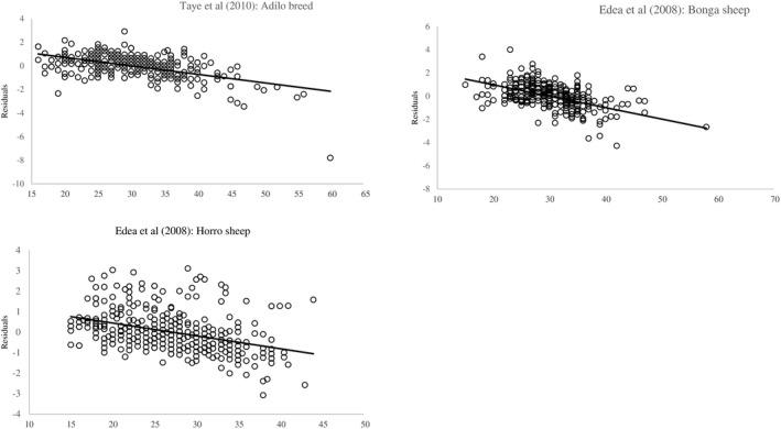
Fat deposition in the brisket of Ethiopian fat-long-tailed sheep may interfere with the correlation between heart girth (HG) and live weight (LW), bringing into question the accuracy of HG models for LW prediction that are currently in use. This study assessed the accuracy of published HG-based prediction models of the live weight of Ethiopian sheep breeds. Furthermore, the study identified accurate and robust models that predict the LW of the sheep using HG. Live weight and HG of 1,020 sheep from Bonga, Adilo and Horro breeds were measured. First, data collected from the study was used to gauge the preciseness of previously published prediction models of each breed. Second, the data of individual breeds were divided into a calibration set for model construction and a validation set for model validation. Live weight was regressed on HG to construct simple linear, Box-Cox, quadratic and allometric prediction models. Prediction error of published models was >20%. Models constructed for each breed did not differ in R . However, only simple linear models with transformed LW (Adilo: Log (LW) = 0.408 + 0.015HG, Bonga: Log (LW) = -36.6 + 0.882HG, Horro: LW  = -1.26 + 0.085*HG) had homogenous residuals and prediction error of ≤ 10%. Heart girth models currently used to predict LW of Adilo, Bonga and Horro sheep of Ethiopia are not sufficiently accurate as they have PE higher than 10%. Prediction models generated by the current study could replace the published models for an accurate estimation of LW of the three breeds for husbandry, marketing and veterinary purposes.

摘要

埃塞俄比亚脂肪长尾羊胸部脂肪沉积可能会干扰胸围(HG)与活重(LW)之间的相关性,这使得目前使用的 HG 模型预测 LW 的准确性受到质疑。本研究评估了基于 HG 的埃塞俄比亚绵羊品种活重预测模型的准确性。此外,本研究还确定了使用 HG 准确、稳健地预测绵羊 LW 的模型。对本加、阿迪洛和霍罗品种的 1020 只绵羊进行了活重和 HG 测量。首先,使用研究中收集的数据来衡量每个品种的先前发表的预测模型的精确性。其次,将各个品种的数据分为校准集用于模型构建和验证集用于模型验证。将活重回归到 HG 以构建简单线性、Box-Cox、二次和比例预测模型。公布模型的预测误差>20%。为每个品种构建的模型在 R 上没有差异。然而,只有经过转换的 LW 的简单线性模型(阿迪洛:Log (LW) = 0.408 + 0.015HG,本加:Log (LW) = -36.6 + 0.882HG,霍罗:LW = -1.26 + 0.085*HG)具有同质性残差和预测误差≤10%。目前用于预测埃塞俄比亚阿迪洛、本加和霍罗绵羊 LW 的 HG 模型不够准确,因为它们的 PE 高于 10%。本研究生成的预测模型可以替代公布的模型,用于准确估计这三个品种的活重,用于养殖、市场营销和兽医目的。

https://cdn.ncbi.nlm.nih.gov/pmc/blobs/ad93/8294380/b934c3e2ebdc/VMS3-7-1287-g002.jpg

文献AI研究员

20分钟写一篇综述,助力文献阅读效率提升50倍。

立即体验

用中文搜PubMed

大模型驱动的PubMed中文搜索引擎

马上搜索

文档翻译

学术文献翻译模型,支持多种主流文档格式。

立即体验