Parretti Helen M, Subramanian Anuradhaa, Adderley Nicola J, Abbott Sally, Tahrani Abd A, Nirantharakumar Krishnarajah
Norwich Medical School, Faculty of Medicine and Health, University of East Anglia, Norwich.
Institute of Applied Health Research, University of Birmingham, Birmingham.
Br J Gen Pract. 2021 May 27;71(707):e441-e449. doi: 10.3399/bjgp20X714161. Print 2021 Jun.
Bariatric surgery is the most effective treatment for severe obesity. However, without recommended follow-up it has long-term risks.
To investigate whether nutritional and weight monitoring in primary care meets current clinical guidance, after patients are discharged from specialist bariatric care.
Retrospective cohort study in primary care practices contributing to IQVIA Medical Research Data in the UK (1 January 2000 to 17 January 2018).
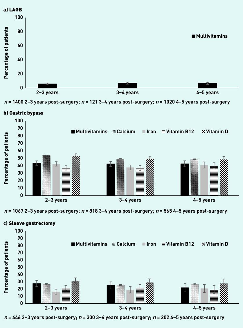
Participants were adults who had had bariatric surgery with a minimum of 3 years' follow-up post-surgery, as this study focused on patients discharged from specialist care (at 2 years post-surgery). Outcomes were the annual proportion of patients from 2 years post-surgery with a record of recommended nutritional screening blood tests, weight measurement, and prescription of nutritional supplements, and the proportions with nutritional deficiencies based on blood tests.
A total of 3137 participants were included in the study, and median follow-up post-surgery was 5.7 (4.2-7.6) years. Between 45% and 59% of these patients had an annual weight measurement. The greatest proportions of patients with a record of annual nutritional blood tests were for tests routinely conducted in primary care, for example, recorded haemoglobin measurement varied between 44.9% ( = 629/1400) and 61.2% ( = 653/1067). Annual proportions of blood tests specific to bariatric surgery were low, for example, recorded copper measurement varied between 1.2% ( = 10/818) and 1.5% ( = 16/1067) where recommended. Results indicated that the most common deficiency was anaemia. Annual proportions of patients with prescriptions for recommended nutritional supplements were low.
This study suggests that patients who have bariatric surgery are not receiving the recommended nutritional monitoring after discharge from specialist care. GPs and patients should be supported to engage with follow-up care. Future research should aim to understand the reasons underpinning these findings.
减肥手术是治疗重度肥胖最有效的方法。然而,若没有推荐的随访,其存在长期风险。
调查在患者从专科减肥护理出院后,初级保健中的营养和体重监测是否符合当前临床指南。
对贡献于英国艾昆纬医学研究数据的初级保健机构进行回顾性队列研究(2000年1月1日至2018年1月17日)。
参与者为接受过减肥手术且术后至少有3年随访的成年人,因为本研究关注从专科护理出院的患者(术后2年)。结局指标为术后2年有推荐的营养筛查血液检查、体重测量及营养补充剂处方记录的患者年度比例,以及基于血液检查的营养缺乏患者比例。
本研究共纳入3137名参与者,术后中位随访时间为5.7(4.2 - 7.6)年。这些患者中,45%至59%有年度体重测量记录。有年度营养血液检查记录的患者比例最高的是初级保健中常规进行的检查,例如,记录的血红蛋白测量比例在44.9%(=629/1400)至61.2%(=653/1067)之间。减肥手术特定的年度血液检查比例较低,例如,推荐的铜测量记录比例在1.2%(=10/818)至1.5%(=16/1067)之间。结果表明最常见的缺乏症是贫血。有推荐营养补充剂处方的患者年度比例较低。
本研究表明,接受减肥手术的患者在从专科护理出院后未接受推荐的营养监测。应支持全科医生和患者参与后续护理。未来研究应旨在了解这些发现背后的原因。