Suppr超能文献

新型冠状病毒肺炎患者的免疫特征:淋巴细胞耗竭标志物与临床结局的关系

Immune Profile in Patients With COVID-19: Lymphocytes Exhaustion Markers in Relationship to Clinical Outcome.

作者信息

Bobcakova Anna, Petriskova Jela, Vysehradsky Robert, Kocan Ivan, Kapustova Lenka, Barnova Martina, Diamant Zuzana, Jesenak Milos

机构信息

Centre for Primary Immunodeficiencies, Clinic of Pneumology and Phthisiology, Jessenius Faculty of Medicine, Comenius University in Bratislava, Martin University Hospital, Martin, Slovakia.

Department of Clinical Immunology and Allergology, Martin University Hospital, Martin, Slovakia.

出版信息

Front Cell Infect Microbiol. 2021 Apr 15;11:646688. doi: 10.3389/fcimb.2021.646688. eCollection 2021.

Abstract

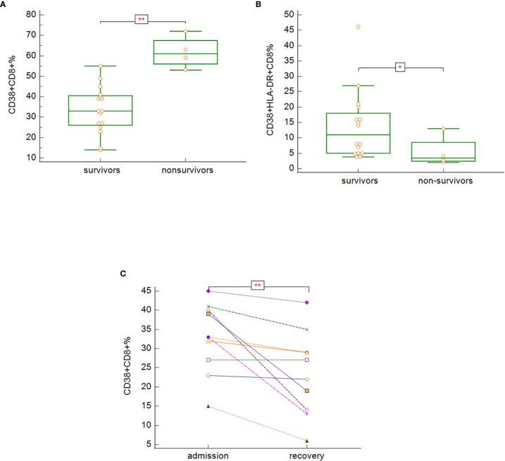
The velocity of the COVID-19 pandemic spread and the variable severity of the disease course has forced scientists to search for potential predictors of the disease outcome. We examined various immune parameters including the markers of immune cells exhaustion and activation in 21 patients with COVID-19 disease hospitalised in our hospital during the first wave of the COVID-19 pandemic in Slovakia. The results showed significant progressive lymphopenia and depletion of lymphocyte subsets (CD3, CD4, CD8 and CD19) in correlation to the disease severity. Clinical recovery was associated with significant increase in CD3 and CD3CD4 T-cells. Most of our patients had eosinopenia on admission, although no significant differences were seen among groups with different disease severity. Non-survivors, when compared to survivors, had significantly increased expression of PD-1 on CD4 and CD8 cells, but no significant difference in Tim-3 expression was observed, what suggests possible reversibility of immune paralysis in the most severe group of patients. During recovery, the expression of Tim-3 on both CD3CD4 and CD3CD8 cells significantly decreased. Moreover, patients with fatal outcome had significantly higher proportion of CD38CD8 cells and lower proportion of CD38HLA-DRCD8 cells on admission. Clinical recovery was associated with significant decrease of proportion of CD38CD8 cells. The highest AUC values within univariate and multivariate logistic regression were achieved for expression of CD38 on CD8 cells and expression of PD1 on CD4 cells alone or combined, what suggests, that these parameters could be used as potential biomarkers of poor outcome. The assessment of immune markers could help in predicting outcome and disease severity in COVID-19 patients. Our observations suggest, that apart from the degree of depletion of total lymphocytes and lymphocytes subsets, increased expression of CD38 on CD3CD8 cells alone or combined with increased expression of PD-1 on CD3CD4 cells, should be regarded as a risk factor of an unfavourable outcome in COVID-19 patients. Increased expression of PD-1 in the absence of an increased expression of Tim-3 on CD3CD4 and CD3CD8 cells suggests potential reversibility of ongoing immune paralysis in patients with the most severe course of COVID-19.

摘要

新型冠状病毒肺炎(COVID-19)大流行的传播速度以及疾病病程的不同严重程度促使科学家们寻找疾病预后的潜在预测指标。我们检测了21例在斯洛伐克第一波COVID-19大流行期间于我院住院的COVID-19患者的各种免疫参数,包括免疫细胞耗竭和激活的标志物。结果显示,与疾病严重程度相关的淋巴细胞进行性显著减少以及淋巴细胞亚群(CD3、CD4、CD8和CD19)耗竭。临床康复与CD3和CD3⁺CD4⁺ T细胞显著增加有关。我们的大多数患者入院时嗜酸性粒细胞减少,尽管不同疾病严重程度的组间未见显著差异。与幸存者相比,非幸存者CD4⁺和CD8⁺细胞上PD-1的表达显著增加,但Tim-3表达未见显著差异,这表明在最严重的患者组中免疫麻痹可能具有可逆性。在康复过程中,CD3⁺CD4⁺和CD3⁺CD8⁺细胞上Tim-3的表达显著降低。此外,死亡患者入院时CD38⁺CD8⁺细胞比例显著更高,而CD38⁺HLA-DR⁺CD8⁺细胞比例更低。临床康复与CD38⁺CD8⁺细胞比例显著降低有关。单因素和多因素逻辑回归中,CD8⁺细胞上CD38的表达以及单独或联合的CD4⁺细胞上PD-1的表达获得了最高的曲线下面积(AUC)值,这表明这些参数可作为不良预后的潜在生物标志物。免疫标志物的评估有助于预测COVID-19患者的预后和疾病严重程度。我们的观察结果表明,除了总淋巴细胞和淋巴细胞亚群的耗竭程度外,单独的CD3⁺CD8⁺细胞上CD38表达增加或与CD3⁺CD4⁺细胞上PD-1表达增加联合,应被视为COVID-19患者不良预后的危险因素。在CD3⁺CD4⁺和CD3⁺CD8⁺细胞上Tim-3表达未增加的情况下,PD-1表达增加表明COVID-19病程最严重的患者中正在进行的免疫麻痹可能具有潜在可逆性。

https://cdn.ncbi.nlm.nih.gov/pmc/blobs/51f0/8082075/db38d89c12f8/fcimb-11-646688-g001.jpg

文献AI研究员

20分钟写一篇综述,助力文献阅读效率提升50倍。

立即体验

用中文搜PubMed

大模型驱动的PubMed中文搜索引擎

马上搜索

文档翻译

学术文献翻译模型,支持多种主流文档格式。

立即体验