Suppr超能文献

亚硫酸氢盐测序接头:一种亚硫酸氢盐测序分析平台。

BiSulfite Bolt: A bisulfite sequencing analysis platform.

机构信息

Department of Human Genetics, University of California, 695 Charles E Young Dr S, Los Angeles, CA 90095, USA.

Department of Molecular, Cell and Developmental Biology, University of California, 610 Charles E Young Dr S, Los Angeles, CA 90095, USA.

出版信息

Gigascience. 2021 May 8;10(5). doi: 10.1093/gigascience/giab033.

Abstract

BACKGROUND

Bisulfite sequencing is commonly used to measure DNA methylation. Processing bisulfite sequencing data is often challenging owing to the computational demands of mapping a low-complexity, asymmetrical library and the lack of a unified processing toolset to produce an analysis-ready methylation matrix from read alignments. To address these shortcomings, we have developed BiSulfite Bolt (BSBolt), a fast and scalable bisulfite sequencing analysis platform. BSBolt performs a pre-alignment sequencing read assessment step to improve efficiency when handling asymmetrical bisulfite sequencing libraries.

FINDINGS

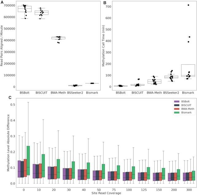
We evaluated BSBolt against simulated and real bisulfite sequencing libraries. We found that BSBolt provides accurate and fast bisulfite sequencing alignments and methylation calls. We also compared BSBolt to several existing bisulfite alignment tools and found BSBolt outperforms Bismark, BSSeeker2, BISCUIT, and BWA-Meth based on alignment accuracy and methylation calling accuracy.

CONCLUSION

BSBolt offers streamlined processing of bisulfite sequencing data through an integrated toolset that offers support for simulation, alignment, methylation calling, and data aggregation. BSBolt is implemented as a Python package and command line utility for flexibility when building informatics pipelines. BSBolt is available at https://github.com/NuttyLogic/BSBolt under an MIT license.

摘要

背景

亚硫酸氢盐测序常用于测量 DNA 甲基化。由于低复杂度、非对称文库的映射计算需求以及缺乏从读取比对生成分析就绪的甲基化矩阵的统一处理工具集,处理亚硫酸氢盐测序数据通常具有挑战性。为了解决这些缺点,我们开发了 BiSulfite Bolt (BSBolt),这是一个快速且可扩展的亚硫酸氢盐测序分析平台。BSBolt 执行预比对测序读取评估步骤,以提高处理非对称亚硫酸氢盐测序文库的效率。

发现

我们针对模拟和真实的亚硫酸氢盐测序文库评估了 BSBolt。我们发现 BSBolt 提供了准确和快速的亚硫酸氢盐测序比对和甲基化调用。我们还将 BSBolt 与几种现有的亚硫酸氢盐比对工具进行了比较,发现 BSBolt 在比对准确性和甲基化调用准确性方面优于 Bismark、BSSeeker2、BISCUIT 和 BWA-Meth。

结论

BSBolt 通过集成工具集提供了亚硫酸氢盐测序数据的简化处理,该工具集提供了模拟、比对、甲基化调用和数据聚合的支持。BSBolt 作为一个 Python 包和命令行实用程序实现,在构建信息学管道时具有灵活性。BSBolt 可在 https://github.com/NuttyLogic/BSBolt 获得,采用 MIT 许可证。

https://cdn.ncbi.nlm.nih.gov/pmc/blobs/d836/8106542/27af023de761/giab033fig1.jpg

文献AI研究员

20分钟写一篇综述,助力文献阅读效率提升50倍。

立即体验

用中文搜PubMed

大模型驱动的PubMed中文搜索引擎

马上搜索

文档翻译

学术文献翻译模型,支持多种主流文档格式。

立即体验