Suppr超能文献

经颈静脉肝内门体分流术治疗后显性肝性脑病的预测:一项队列研究。

Prediction of overt hepatic encephalopathy after transjugular intrahepatic portosystemic shunt treatment: a cohort study.

机构信息

Zhuhai Interventional Medical Centre, Zhuhai People's Hospital (Zhuhai Hospital Affiliated With Jinan University), No. 79 Kangning Road, Zhuhai, 519000, Guangdong Province, China.

Department of General Surgery, Zhuhai People's Hospital (Zhuhai Hospital Affiliated With Jinan University), No. 79 Kangning Road, Zhuhai, China.

出版信息

Hepatol Int. 2021 Jun;15(3):730-740. doi: 10.1007/s12072-021-10188-5. Epub 2021 May 11.

Abstract

BACKGROUND/PURPOSE: Overt hepatic encephalopathy (HE) risk should be preoperatively predicted to identify patients suitable for curative transjugular intrahepatic portosystemic shunt (TIPS) instead of palliative treatments.

METHODS

A total of 185 patients who underwent TIPS procedure were randomised (130 in the training dataset and 55 in the validation dataset). Clinical factors and imaging characteristics were assessed. Three different models were established by logistic regression analyses based on clinical factors (Model), imaging characteristics (Model), and a combination of both (Model). Their discrimination, calibration, and decision curves were compared, to identify the best model. Subgroup analysis was performed for the best model.

RESULTS

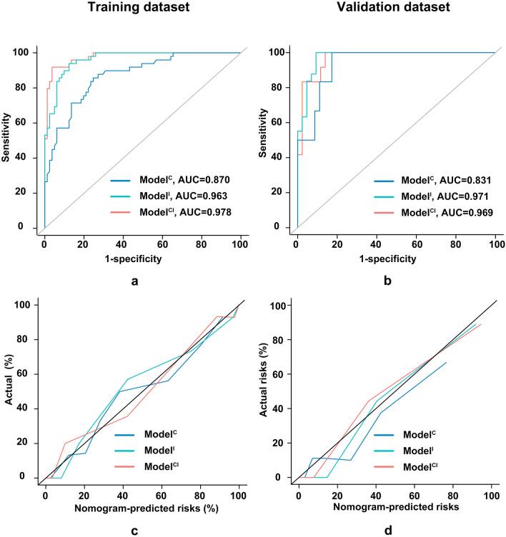
Model, which contained two clinical factors and two imaging characteristics, was identified as the best model. The areas under the curve of Model, Model, and Model were 0.870, 0.963, and 0.978 for the training dataset and 0.831, 0.971, and 0.969 for the validation dataset. The combined model outperformed the clinical and imaging models in terms of calibration and decision curves. The performance of Model was not influenced by total bilirubin, Child-Pugh stages, model of end-stage liver disease score, or ammonia. The subgroup with a risk score ≥ 0.88 exhibited a higher proportion of overt HE (training dataset: 13.3% vs. 97.4%, p < 0.001; validation dataset: 0.0% vs. 87.5%, p < 0.001).

CONCLUSION

Our combination model can successfully predict the risk of overt HE post-TIPS. For the low-risk subgroup, TIPS can be performed safely; however, for the high-risk subgroup, it should be considered more carefully.

摘要

背景/目的:应预测显性肝性脑病(HE)风险,以确定适合根治性经颈静脉肝内门体分流术(TIPS)而非姑息性治疗的患者。

方法

对接受 TIPS 手术的 185 名患者进行了随机分组(训练数据集 130 例,验证数据集 55 例)。评估了临床因素和影像学特征。基于临床因素(模型)、影像学特征(模型)和两者的组合(模型),通过逻辑回归分析建立了三种不同的模型。比较了它们的判别能力、校准能力和决策曲线,以确定最佳模型。对最佳模型进行了亚组分析。

结果

包含两个临床因素和两个影像学特征的模型被确定为最佳模型。模型在训练数据集中的曲线下面积为 0.870,模型在验证数据集中的曲线下面积为 0.963,模型在训练数据集中的曲线下面积为 0.978,模型在验证数据集中的曲线下面积为 0.831,模型在验证数据集中的曲线下面积为 0.971。在决策曲线和校准方面,组合模型优于临床和影像学模型。模型的性能不受总胆红素、Child-Pugh 分期、终末期肝病模型评分或氨的影响。风险评分≥0.88 的亚组显性 HE 比例较高(训练数据集:13.3%比 97.4%,p<0.001;验证数据集:0.0%比 87.5%,p<0.001)。

结论

我们的组合模型可以成功预测 TIPS 术后显性 HE 的风险。对于低危亚组,TIPS 可安全进行;然而,对于高危亚组,应更慎重考虑。

https://cdn.ncbi.nlm.nih.gov/pmc/blobs/9b6f/8286937/fcd96470634d/12072_2021_10188_Fig1_HTML.jpg

文献AI研究员

20分钟写一篇综述,助力文献阅读效率提升50倍。

立即体验

用中文搜PubMed

大模型驱动的PubMed中文搜索引擎

马上搜索

文档翻译

学术文献翻译模型,支持多种主流文档格式。

立即体验