Suppr超能文献

比较上身和下身强制空气毯预防俯卧位脊柱手术患者围手术期低体温:一项随机对照试验。

Comparison of upper and lower body forced air blanket to prevent perioperative hypothermia in patients who underwent spinal surgery in prone position: a randomized controlled trial.

机构信息

Department of Anesthesiology and Pain Medicine, Soonchunhyang University Hospital Seoul, Seoul, Korea.

Department of Thoracic and Cardiovascular Surgery, Soonchunhyang University Hospital Seoul, Seoul, Korea.

出版信息

Korean J Anesthesiol. 2022 Feb;75(1):37-46. doi: 10.4097/kja.21087. Epub 2021 May 13.

Abstract

BACKGROUND

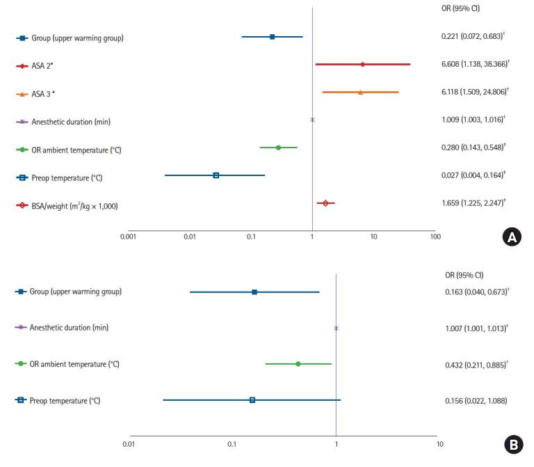
We compared upper- and lower-body forced-air blankets in terms of their ability to prevent perioperative hypothermia, defined as a reduction in body temperature to < 36.0°C, during the perioperative period in patients undergoing spine surgery in the prone position.

METHODS

In total, 120 patients scheduled for elective spine surgery under general anesthesia were divided into an upper-warming group (n = 60) and a lower-warming group (n = 60). After inducing anesthesia and preparing the patient for surgery, including prone positioning, the upper and lower bodies of the patients in the upper- and lower-warming groups, respectively, were warmed using a forced-air warmer with specified upper and lower blankets. Body temperature was measured using a tympanic membrane thermometer during the pre- and post-operative periods and using a nasopharyngeal temperature probe during the intraoperative period. Patients were evaluated in terms of shivering, thermal comfort, and satisfaction in the post-anesthesia care unit (PACU).

RESULTS

The incidence of intraoperative and postoperative hypothermia was lower in the upper-warming group than in the lower-warming group ([55.2% vs. 75.9%, P = 0.019] and [21.4% vs. 49.1%, P = 0.002]). Perioperative body temperature was higher in the upper-warming group (P < 0.001). However, intraoperative blood loss, postoperative thermal comfort scale and shivering scores, patient satisfaction, and PACU duration were similar in the two groups.

CONCLUSIONS

The upper-body blanket was more effective than the lower-body blanket for preventing perioperative hypothermia in patients who underwent spine surgery in the prone position.

摘要

背景

我们比较了上半身和下半身空气加热毯在预防围手术期低体温方面的能力,低体温定义为体温降至<36.0°C,在接受全身麻醉下俯卧位脊柱手术的患者中。

方法

共有 120 例择期全身麻醉下脊柱手术患者被分为上半身保暖组(n=60)和下半身保暖组(n=60)。诱导麻醉并为患者做好手术准备,包括俯卧位,上半身保暖组和下半身保暖组的患者的上半身和下半身分别使用带有特定上半身和下半身毯子的空气加热毯进行加热。在术前和术后期间使用鼓膜温度计测量体温,在术中期间使用鼻咽温度探头测量体温。在麻醉后恢复室(PACU)评估患者的寒战、热舒适度和满意度。

结果

上半身保暖组术中及术后低体温发生率低于下半身保暖组([55.2%比 75.9%,P=0.019]和[21.4%比 49.1%,P=0.002])。上半身保暖组围手术期体温较高(P<0.001)。然而,两组患者的术中失血量、术后热舒适度评分和寒战评分、患者满意度和 PACU 持续时间相似。

结论

在上半身暴露于手术的俯卧位脊柱手术患者中,上半身毯子比下半身毯子更有效地预防围手术期低体温。

https://cdn.ncbi.nlm.nih.gov/pmc/blobs/2d08/8831429/08c31d111cbd/kja-21087f1.jpg

文献AI研究员

20分钟写一篇综述,助力文献阅读效率提升50倍。

立即体验

用中文搜PubMed

大模型驱动的PubMed中文搜索引擎

马上搜索

文档翻译

学术文献翻译模型,支持多种主流文档格式。

立即体验